累计帮助 {{item}} 人找到寻根线索

刘氏宗亲寻根

置顶
置顶您的寻根,将会被更多用户所看见并且会在族谱网首页展示,更快为您的寻根提供线索!
支付金额: 元 累计悬赏金{{Number(xungen.money || 0) + Number(numMoney)}}元({{(xungen.money || 0)}}+{{numMoney}}
微信支付 支付宝支付
取 消 确 认
扫码支付
温馨提示:支付悬赏金后,如果您发布的寻根在45天内有寻根线索,您没有主动打赏线索,系统将自动打赏您的悬赏金给提供线索的用户,不予退回。您在发布寻根的45天内有2次延期的机会,每次可延期7天,到期将自动打赏悬赏金,不予退回。
{{typeConfig[0].label || 1}}天 {{xungenTopMoney1}}元 {{typeConfig[1].label || 7}}天 {{(Number(xungenTopMoney1)*(Number(typeConfig[1].label || 7) / Number(typeConfig[0].label || 1))).toFixed(2)}}元 {{xungenTopMoney2}}
微信支付 支付宝支付
取 消 确 认

发布时间: 2022-07-05 21:14:33

浏览次数:678

寻根编号:17564

置顶时间{{transform('day')}}{{transform('hour')}}

您是否要延期寻根

您在发布寻根的45天内有{{ 2-xungen.delayCount}}次延期的机会,每次可延期7天,到期将自动打赏悬赏金,不予退回。

取 消 确 认
{{xungen.familyName.substr(0, 1)}}

姓氏:

现居地:

江西省抚州市乐安县

始祖/祖辈/族人:

邦星

堂号:

刘氏

字辈:

寻根详情:

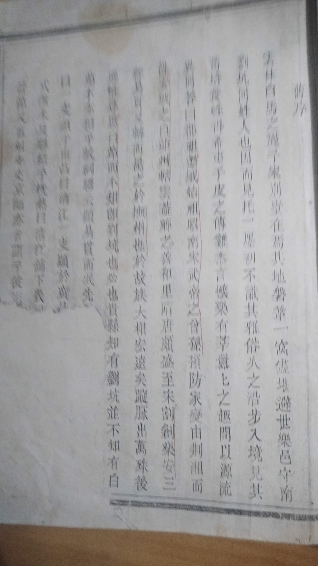
乐安县山砀镇下中坑刘氏家谱

设置悬赏金
设置悬赏金额越多,吸引更多宗亲提供线索,约有98%的用户通过悬赏金找到线索!
寻根线索(1)
151***219
2026-04-16 21:09:15
在流坑昭公,南朝宋武帝裕之曾孙后裔
发布寻根线索
上传图片:
+
发布线索
剩余打赏{{(xungen.money || 0) -(xungen.sumReward || 0) }}
取 消 确 定
您是否要取消发布

您正在发布的寻根已经超过{{transformCancle()}}天,是否要取消您的寻根发布

寻根悬赏金将会在一个月内退回至您的账户,请耐心等待
取 消 确 认
发布寻根线索