族谱网 壹氏族谱 地方志 南田县志(全)
热门方志匹配度排行
洛宁县志(1-2)
洛宁县志(1-2)
太原县志(1-3)
太原县志(1-3)
kw1055.中国地方志集成 乡镇志专辑-地方志(4)錢門塘鄉志
kw1055.中国地方志集成 乡镇志专辑-地方志(4)錢門塘鄉志
绍兴府志(1-7)
绍兴府志(1-7)
南田县志(全)
姓氏:  
堂号:  
暂无相关信息
编修:  
暂无相关信息
编修时间:  
页数: 477 
浏览:  
5160
散居地:  
不详
始祖:  
不详
查阅族谱
查阅族谱
下载族谱
地方志简介展开阅读全文

南田县志(全)

浏览:5653
页数:388
宁夏新志(全)
浏览:2996
页数:426
高陵县续志(全)
浏览:2937
页数:564
07 弘治易州志 河北省
浏览:2443
页数:881
kw1055.中国地方志集成 乡镇志专辑-中国地方志集成 乡镇志专辑 30
地方志查阅
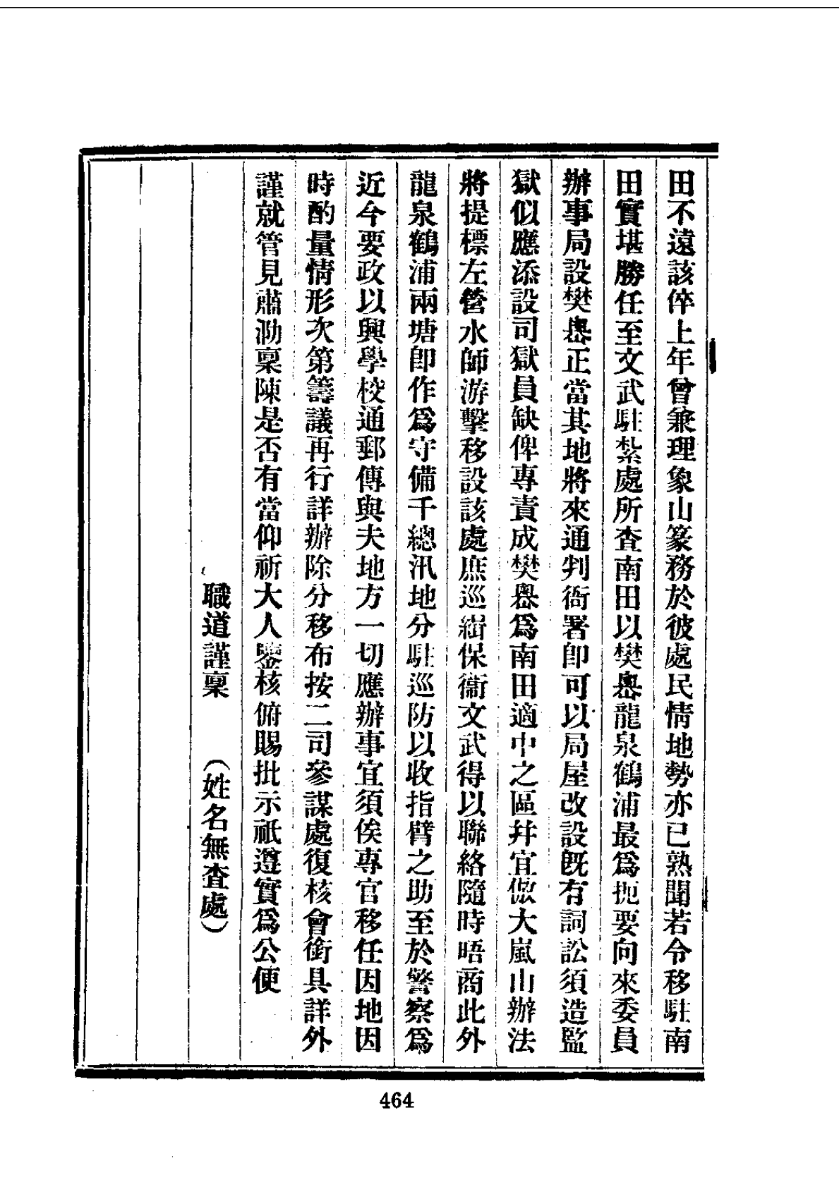
摘自《南田县志(全)》
本方志共有477页,阅览1
本方志共有477页,阅览2
本方志共有477页,阅览3
本方志共有477页,阅览4
本方志共有477页,阅览5
您与当前族谱匹配度约
92.8%
会员可免费查看寻根
感谢您对族谱文化及修谱师的支持!
购买查阅全部477页
全部互动({{commentTotal}})
{{item.userName}}
{{item.createAt}}
{{item.content}}
暂无互动评论
发布