族谱网 陆氏族谱 地方志 寿光县志(1-4)

人口数:440

姓氏排名:70

热门方志匹配度排行
07 万历 续修严州府志
07 万历 续修严州府志
日本藏中国罕见地方志丛刊—[万历]严州府志,著,书目文献出版社,1979年9月第1版,563页
日本藏中国罕见地方志丛刊—[万历]严州府志,著,书目文献出版社,1979年9月第1版,563页
天一阁藏明代方志选刊(49)嘉靖尉氏县志(河南省)
天一阁藏明代方志选刊(49)嘉靖尉氏县志(河南省)
中国方志丛书·华中地方·第二五三号··江西省·抚州府志(一、二、三、四、五)
中国方志丛书·华中地方·第二五三号··江西省·抚州府志(一、二、三、四、五)
寿光县志(1-4)
姓氏:  
堂号:  
暂无相关信息
编修:  
暂无相关信息
编修时间:  
页数: 2411 
浏览:  
1995
散居地:  
不详
始祖:  
不详
查阅族谱
查阅族谱
下载族谱
地方志简介展开阅读全文

寿光县志(1-4)

浏览:3421
页数:129
闽小记(全)
浏览:6037
页数:311
筹豫近言(全)
浏览:7978
页数:462
顺德龙江乡志(全)
浏览:3856
页数:466
天一阁藏明代方志选刊(55)嘉靖蕲州志(湖北省)
地方志查阅
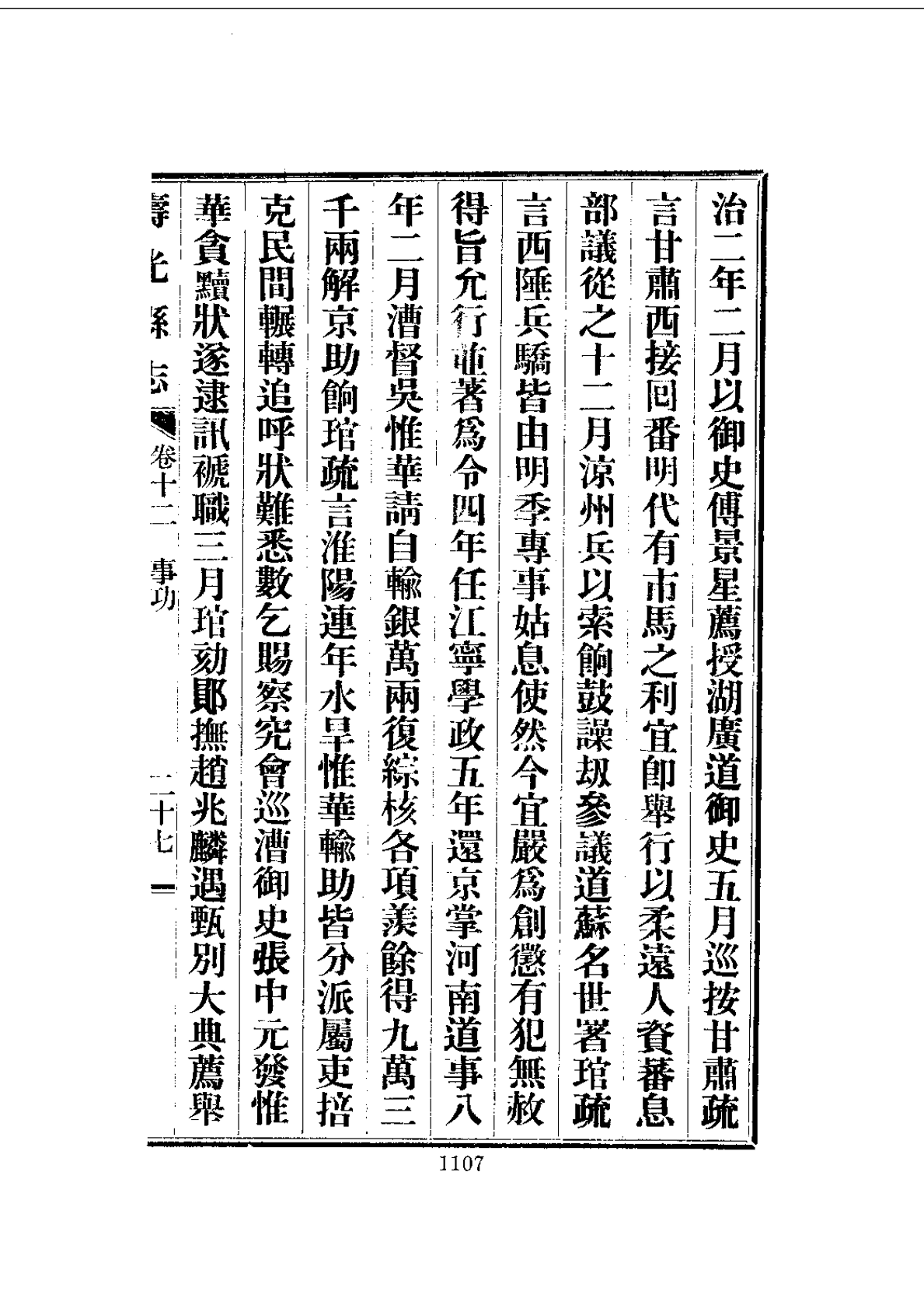
摘自《寿光县志(1-4)》
本方志共有2411页,阅览1
本方志共有2411页,阅览2
本方志共有2411页,阅览3
本方志共有2411页,阅览4
本方志共有2411页,阅览5
您与当前族谱匹配度约
95.8%
会员可免费查看寻根
感谢您对族谱文化及修谱师的支持!
购买查阅全部2411页
全部互动({{commentTotal}})
{{item.userName}}
{{item.createAt}}
{{item.content}}
暂无互动评论
发布