族谱网 一氏族谱 地方志 安徽省-008涡阳风土记十六卷 首一卷 聂宪藩 等修 黄佩兰 等纂 民国十三年刊本
热门方志匹配度排行
松江府续志(一、二)
松江府续志(一、二)
石门县志(1-4)
石门县志(1-4)
海盐县图经(1-4)
海盐县图经(1-4)
东莞县志(1)
东莞县志(1)
安徽省-008涡阳风土记十六卷 首一卷 聂宪藩 等修 黄佩兰 等纂 民国十三年刊本
姓氏:  
堂号:  
暂无相关信息
编修:  
暂无相关信息
编修时间:  
页数: 892 
浏览:  
2809
散居地:  
安徽省
始祖:  
不详
查阅族谱
查阅族谱
下载族谱
地方志简介展开阅读全文

安徽省-008涡阳风土记十六卷 首一卷 聂宪藩 等修 黄佩兰 等纂 民国十三年刊本

浏览:4944
页数:210
中国方志丛书·华北地方·第三九四号·山东省·利津县志续编(全)
浏览:9478
页数:350
顺德县志(全)
浏览:2845
页数:633
04 嘉靖广平府志 河北省
浏览:3847
页数:670
kw1055.中国地方志集成 乡镇志专辑-地方志(16)甘棠小志
地方志查阅
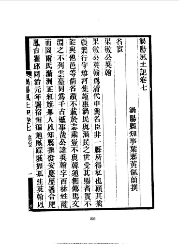
摘自《安徽省-008涡阳风土记十六卷 首一卷 聂宪藩 等修 黄佩兰 等纂 民国十三年刊本》
本方志共有892页,阅览1
本方志共有892页,阅览2
本方志共有892页,阅览3
本方志共有892页,阅览4
本方志共有892页,阅览5
您与当前族谱匹配度约
89.8%
会员可免费查看寻根
感谢您对族谱文化及修谱师的支持!
购买查阅全部892页
全部互动({{commentTotal}})
{{item.userName}}
{{item.createAt}}
{{item.content}}
暂无互动评论
发布