族谱网 三氏族谱 地方志 察哈尔-25.察哈尔省.西宁县新志(1册)(10卷)
热门方志匹配度排行
续纂江宁府志(1-2)
续纂江宁府志(1-2)
东北-001:复县志略
东北-001:复县志略
始兴县志(1-3)
始兴县志(1-3)
松江府志(一、二、三)
松江府志(一、二、三)
察哈尔-25.察哈尔省.西宁县新志(1册)(10卷)
姓氏:  
堂号:  
暂无相关信息
编修:  
暂无相关信息
编修时间:  
页数: 384 
浏览:  
1566
散居地:  
不详
始祖:  
不详
查阅族谱
查阅族谱
下载族谱
地方志简介展开阅读全文

察哈尔-25.察哈尔省.西宁县新志(1册)(10卷)

浏览:4539
页数:166
14_01嘉靖 惠州府志
浏览:4003
页数:243
03_03万历 建阳县志
浏览:17481
页数:348
南平县志(3-5)
浏览:4740
页数:452
中国佛寺志丛刊(共130册)-[中国佛寺志丛刊 第128册].白化文 张智主编
地方志查阅
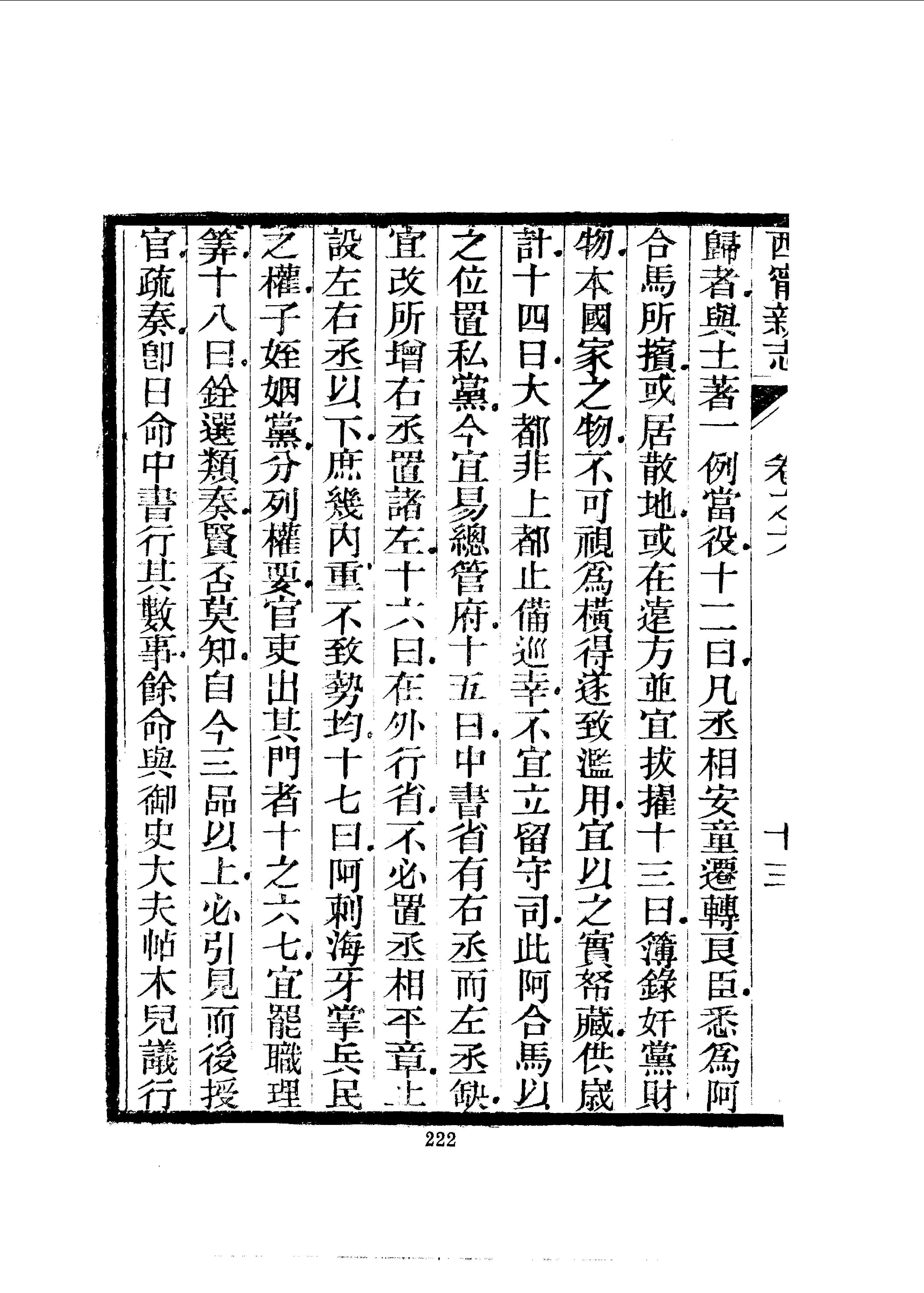
摘自《察哈尔-25.察哈尔省.西宁县新志(1册)(10卷)》
本方志共有384页,阅览1
本方志共有384页,阅览2
本方志共有384页,阅览3
本方志共有384页,阅览4
本方志共有384页,阅览5
您与当前族谱匹配度约
90.8%
会员可免费查看寻根
感谢您对族谱文化及修谱师的支持!
购买查阅全部384页
全部互动({{commentTotal}})
{{item.userName}}
{{item.createAt}}
{{item.content}}
暂无互动评论
发布
扫一扫,手机查看
察哈尔-25.察哈尔省.西宁县新志(1册)(10卷)
下载PDF
收藏
微信
QQ空间
QQ
微博