抗坏血酸
历史
从十八世纪中期开始,柠檬汁能够防止航海者们患上坏血病这件事情被人们注意到了。最初,抗坏血酸的酸性被认为是这个效果的原因;但是后来,人们发现其他饮食中的酸,例如醋,并没有这样的功效。在1907年两个挪威医生报道了食物中一种必不可少的预防疾病的化合物,一种与预防脚气病的不同的化合物。这些医生正在调查营养缺乏病的膳食,他们使用豚鼠,它们容易得到坏血病,新发现的食品因素最终被称为维生素C.
从1928年到1932年,匈牙利领导的研究小组圣捷尔吉·阿尔伯特,以及,美国研究人员查尔斯·格伦金,确定了抗坏血病因子为一个特定的单一的化学物质。在梅奥诊所圣捷尔吉·阿尔伯特已经动物肾上腺分离出化学品己糖醛酸。他怀疑这是抗坏血病的因素,但不能生物学测定证明它。该实验终于在匹兹堡大学金的实验室进行,该实验室一直使用天竺鼠对这个问题研究多年,1931年年末,金的实验室圣捷尔吉·阿尔伯特间接获得的肾上腺己糖醛酸,到1932年年初使用他们的动物模型,证明了它是维生素C。
那年晚些时候圣捷尔吉·阿尔伯特的研究小组发现,匈牙利辣椒粉,在匈牙利饮食中常见的香料,是己糖醛酸的丰富来源。他送了一些给沃尔特·霍沃思,一位英国糖化学家。1933年,正与研究当时的助理署长埃德蒙·赫斯特和他们的研究团队,霍沃思氏推导出正确的结构和维生素C的光学异构体的性质,并于1934年报导了维生素的第一合成。为了纪念该化合物的抗坏血病特性,霍沃思和阿尔伯特提出了“A-抗坏血酸”的新名称。当其结构通过合成最终证实,它由霍沃思和阿尔伯特命名为“L-抗坏血酸”。
1937年,诺贝尔化学奖授予了霍沃思因为他确定的抗坏血酸结构–与保罗·卡勒共享,卡勒的获奖是对维生素的研究。同年阿尔伯特因对L-抗坏血酸的生物学功能研究,获得诺贝尔生理学或医学奖。
1967年,诺贝尔奖得主莱纳斯·鲍林推荐的高剂量的维生素C对抗感冒和癌症预防。然而现代的证据不支持高剂量的维生素C在癌症的治疗或普通感冒的预防作用。
制备
赖希斯坦过程中的化学反应是,组合化学和微生物的方法,由D-葡萄糖生产抗坏血酸,其中发生的几个步骤。而这个过程的设计是由诺贝尔奖得主赖希斯坦和他的同事们在1933年,在苏黎世联邦理工学院的实验室工作完成。
过时的,但在历史上重要的经由葡萄糖工业合成抗坏血酸,赖希斯坦过程(Reichstein process)。
反应
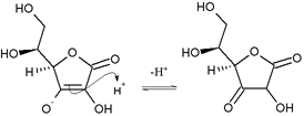
抗坏血酸很像衍生为它的糖,即含有多个氧官能团的环。该分子处于酮的两种互变异构体(酮-烯醇)的动态平衡之中,酮型结构较烯醇的稳定性差一些。这些结构在抗坏血酸的溶液中快速地互变着。
抗坏血酸烯醇结构对质子进亲核攻击,形成1,3-二酮
抗氧化机制
抗坏血酸(ascorbic acid),为酸性、高度极性和水溶性的,及其还原性质主要在2,3-烯二醇部分。 其抗氧化角色为 a)清除单态O, b)还原O-和C-为中心的自由基, c)抗坏血酸的优先氧化及 d) 其他抗氧化剂的再生,如还原生育酚基团。
食品化学
L-抗坏血酸(AA)和L-去氢抗坏血酸 (DHAA)具维生素C活性,而L-异抗坏血酸和D-AA不具维生素C活性(无营养价值)。 抗坏血酸在食品中的功能: a) 作为必需营养素,b)作为食品组分/添加物,因 为其还原和抗氧化活性, c) 由还原o-醌而抑制酵素性褐变, d) 在面团调整剂中提供还原作用, e)由还原作用、自由基和O清除而保护一些会氧化 的化合物(如叶酸), f) 在腌肉中抑制亚硝胺形成及g) 还原金属离子。
非食用
抗坏血酸的生物合成
检测
传统的分析抗坏血酸的方法是用氧化剂来滴定。
药典状态
British Pharmacopoeia
Japanese Pharmacopoeia
参见
护色剂
维生素C
脱氢抗坏血酸
异抗坏血酸
延伸阅读
Clayden; Greeves; Warren; Wothers, Organic Chemistry, Oxford University Press, 2001, ISBN 0-19-850346-6 .
Davies, Michael B.; Austin, John; Partridge, David A., Vitamin C: Its Chemistry and Biochemistry, Royal Society of Chemistry, ISBN 0-85186-333-7 .
Coultate, T. P., Food: The Chemistry of Its Components 3rd, Royal Society of Chemistry, ISBN 0-85404-513-9 .
Gruenwald, J.; Brendler, T.; Jaenicke, C. (编), PDR for Herbal Medicines 3rd, Montvale, New Jersey: Thomson PDR, 2004 .
McMurry, John, Organic Chemistry 7e, Thomson Learning, 2008, ISBN 978-0-495-11628-8 .
免责声明:以上内容版权归原作者所有,如有侵犯您的原创版权请告知,我们将尽快删除相关内容。感谢每一位辛勤著写的作者,感谢每一位的分享。
- 有价值
- 一般般
- 没价值
24小时热门
推荐阅读
知识互答
关于我们
APP下载

{{item.time}} {{item.replyListShow ? '收起' : '展开'}}评论 {{curReplyId == item.id ? '取消回复' : '回复'}}