扫一扫,手机查看
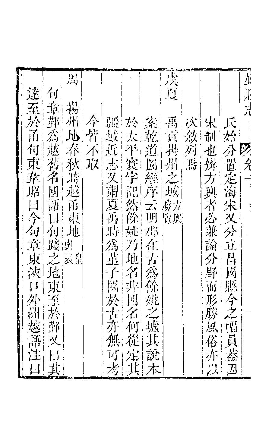
乾隆鄞縣志二_錢維喬修
下载PDF
收藏
热门族谱匹配度排行
27 永乐乐清县志 浙江省
27 永乐乐清县志 浙江省
沛县志(一、二、三)
沛县志(一、二、三)
處州府志(1-2)
處州府志(1-2)
上元县志(一、二、三、四、五)
上元县志(一、二、三、四、五)
扫一扫,手机查看
乾隆鄞縣志二_錢維喬修
乾隆鄞縣志二_錢維喬修
姓氏:  
堂号:  
暂无相关信息
编修:  
暂无相关信息
编修时间:  
页数: 113 
浏览:  
313
散居地:  
不详
始祖:  
不详
查阅族谱
下载族谱
地方志简介
为你甄选肆氏族谱
中国方志丛书·华中地方·第二四五号··安徽省·凤阳县志略
中国方志丛书·华中地方·第二四五号··安徽省·凤阳县志略
浏览:2922
页数:52
26 嘉靖浦江志略 浙江省
26 嘉靖浦江志略 浙江省
浏览:5755
页数:291
广西省-48 邕宁县志四十四卷 莫炳奎 纂修 民国二十六年排印本(页1435-1748)
广西省-48 邕宁县志四十四卷 莫炳奎 纂修 民国二十六年排印本(页1435-1748)
浏览:5191
页数:314
天一阁藏明代方志选刊(50)嘉靖长垣县志(河南省)
天一阁藏明代方志选刊(50)嘉靖长垣县志(河南省)
浏览:2560
页数:339
地方志查阅
摘自《乾隆鄞縣志二_錢維喬修》
本方志共有113页,阅览1
本方志共有113页,阅览2
本方志共有113页,阅览3
本方志共有113页,阅览4
本方志共有113页,阅览5
您与当前族谱匹配度约
94.8%
会员可免费查看寻根
感谢您对族谱文化及修谱师的支持!
查阅查阅全部113页
正在为您生成PDF文件 生成时间大概需要10~30分钟左右,请稍后再试。
或者您也可以联系下方客服为您下载
族谱王官方公众号
微信号:zupu2022
全部互动({{commentTotal}})
{{item.userName}}
{{item.createAt}}
{{item.content}}
暂无互动评论
发布
尽揽千万族谱
姓氏族谱博物馆
姓氏族谱 0
字辈表 4
源流 8
相关始祖
下载APP立即进入
99+

姓氏家族圈

全网第 0 大家族
已有 0 万位宗亲
{{memberTotal}}名宗亲正在热聊 快来加入
{{t.username}}:{{t.content}}
微信
QQ空间
QQ
微博