扫一扫,手机查看
四明叢書玉幾山房吟卷_張壽鏞鄞縣張氏約園
下载PDF
收藏

人口数:440

姓氏排名:70

热门族谱匹配度排行
郿县志(1-2)
郿县志(1-2)
22 万历 琼州府志
22 万历 琼州府志
24 康熙 永州府志
24 康熙 永州府志
87 嘉靖常德府志 湖南省
87 嘉靖常德府志 湖南省
扫一扫,手机查看
四明叢書玉幾山房吟卷_張壽鏞鄞縣張氏約園
四明叢書玉幾山房吟卷_張壽鏞鄞縣張氏約園
姓氏:  
堂号:  
暂无相关信息
编修:  
暂无相关信息
编修时间:  
页数: 110 
浏览:  
401
散居地:  
不详
始祖:  
不详
查阅族谱
下载族谱
地方志简介
为你甄选陆氏族谱
南阳县南阳府户口地土物产畜牧表图说(全)
南阳县南阳府户口地土物产畜牧表图说(全)
浏览:5456
页数:73
33 正德颖州志 安徽省
33 正德颖州志 安徽省
浏览:3526
页数:286
91 万历慈利县志 湖南省
91 万历慈利县志 湖南省
浏览:3211
页数:364
天一阁藏明代方志选刊(48)嘉靖夏邑县志(河南省)
天一阁藏明代方志选刊(48)嘉靖夏邑县志(河南省)
浏览:2470
页数:378
地方志查阅
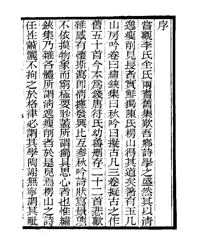
摘自《四明叢書玉幾山房吟卷_張壽鏞鄞縣張氏約園》
本方志共有110页,阅览1
本方志共有110页,阅览2
本方志共有110页,阅览3
本方志共有110页,阅览4
本方志共有110页,阅览5
您与当前族谱匹配度约
94.8%
会员可免费查看寻根
感谢您对族谱文化及修谱师的支持!
查阅查阅全部110页
正在为您生成PDF文件 生成时间大概需要10~30分钟左右,请稍后再试。
或者您也可以联系下方客服为您下载
族谱王官方公众号
微信号:zupu2022
全部互动({{commentTotal}})
{{item.userName}}
{{item.createAt}}
{{item.content}}
暂无互动评论
发布
尽揽千万族谱
陆氏族谱博物馆
陆氏族谱 0
字辈表 4
源流 8
相关始祖
下载APP立即进入
99+

陆氏家族圈

全网第 70 大家族
已有 440 万位宗亲
{{memberTotal}}名宗亲正在热聊 快来加入
{{t.username}}:{{t.content}}
微信
QQ空间
QQ
微博