扫一扫,手机查看
四明叢書純德彙編_張壽鏞鄞縣張氏約園
下载PDF
收藏

人口数:440

姓氏排名:70

热门族谱匹配度排行
洛宁县志(1-2)
洛宁县志(1-2)
太原县志(1-3)
太原县志(1-3)
kw1055.中国地方志集成 乡镇志专辑-地方志(4)錢門塘鄉志
kw1055.中国地方志集成 乡镇志专辑-地方志(4)錢門塘鄉志
绍兴府志(1-7)
绍兴府志(1-7)
扫一扫,手机查看
四明叢書純德彙編_張壽鏞鄞縣張氏約園
四明叢書純德彙編_張壽鏞鄞縣張氏約園
姓氏:  
堂号:  
暂无相关信息
编修:  
暂无相关信息
编修时间:  
页数: 118 
浏览:  
253
散居地:  
不详
始祖:  
不详
查阅族谱
下载族谱
地方志简介
为你甄选陆氏族谱
宁夏新志(全)
宁夏新志(全)
浏览:5648
页数:388
高陵县续志(全)
高陵县续志(全)
浏览:2994
页数:426
07 弘治易州志 河北省
07 弘治易州志 河北省
浏览:2933
页数:564
kw1055.中国地方志集成 乡镇志专辑-中国地方志集成 乡镇志专辑 30
kw1055.中国地方志集成 乡镇志专辑-中国地方志集成 乡镇志专辑 30
浏览:2443
页数:881
地方志查阅
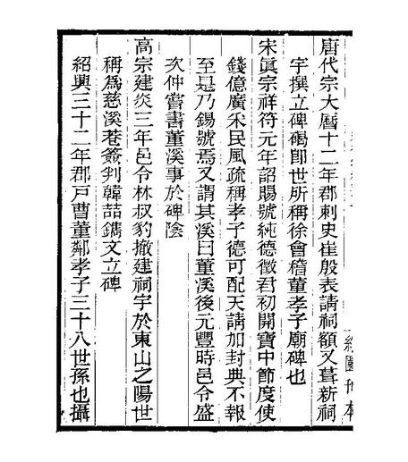
摘自《四明叢書純德彙編_張壽鏞鄞縣張氏約園》
本方志共有118页,阅览1
本方志共有118页,阅览2
本方志共有118页,阅览3
本方志共有118页,阅览4
本方志共有118页,阅览5
您与当前族谱匹配度约
95.8%
会员可免费查看寻根
感谢您对族谱文化及修谱师的支持!
查阅查阅全部118页
正在为您生成PDF文件 生成时间大概需要10~30分钟左右,请稍后再试。
或者您也可以联系下方客服为您下载
族谱王官方公众号
微信号:zupu2022
全部互动({{commentTotal}})
{{item.userName}}
{{item.createAt}}
{{item.content}}
暂无互动评论
发布
尽揽千万族谱
陆氏族谱博物馆
陆氏族谱 0
字辈表 4
源流 8
相关始祖
下载APP立即进入
99+

陆氏家族圈

全网第 70 大家族
已有 440 万位宗亲
{{memberTotal}}名宗亲正在热聊 快来加入
{{t.username}}:{{t.content}}
微信
QQ空间
QQ
微博