扫一扫,手机查看
永嘉縣志_王棻
下载PDF
收藏
热门族谱匹配度排行
82 嘉靖汉阳府志 湖北省
82 嘉靖汉阳府志 湖北省
23 万历黄岩县志 浙江省
23 万历黄岩县志 浙江省
13 弘治句容县志 江苏省
13 弘治句容县志 江苏省
14 嘉靖惟扬志 江苏省
14 嘉靖惟扬志 江苏省
扫一扫,手机查看
永嘉縣志_王棻
永嘉縣志_王棻
姓氏:  
堂号:  
暂无相关信息
编修:  
暂无相关信息
编修时间:  
页数: 124 
浏览:  
566
散居地:  
不详
始祖:  
不详
查阅族谱
下载族谱
地方志简介
为你甄选仟氏族谱
19 嘉靖宝应县志略 江苏省
19 嘉靖宝应县志略 江苏省
浏览:7771
页数:154
石泉县志(全)
石泉县志(全)
浏览:5190
页数:169
东北-035:依兰县志
东北-035:依兰县志
浏览:3966
页数:206
85 正德光化县志 湖北省
85 正德光化县志 湖北省
浏览:3147
页数:363
地方志查阅
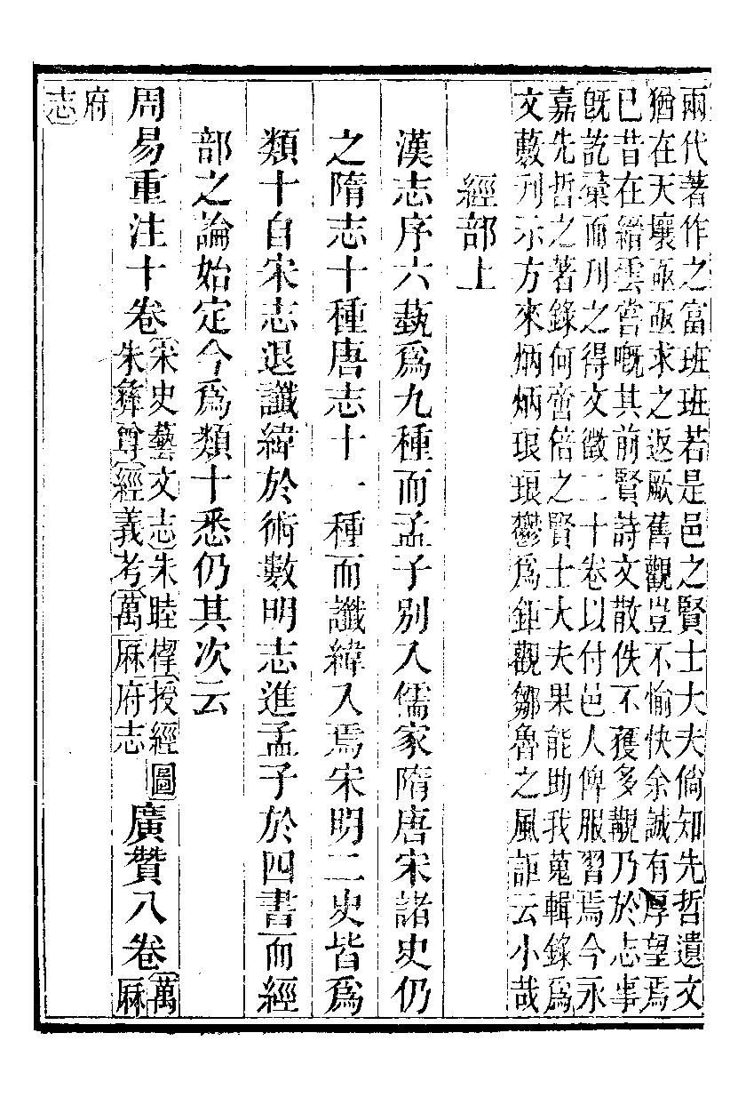
摘自《永嘉縣志_王棻》
本方志共有124页,阅览1
本方志共有124页,阅览2
本方志共有124页,阅览3
本方志共有124页,阅览4
本方志共有124页,阅览5
您与当前族谱匹配度约
91.8%
会员可免费查看寻根
感谢您对族谱文化及修谱师的支持!
查阅查阅全部124页
正在为您生成PDF文件 生成时间大概需要10~30分钟左右,请稍后再试。
或者您也可以联系下方客服为您下载
族谱王官方公众号
微信号:zupu2022
全部互动({{commentTotal}})
{{item.userName}}
{{item.createAt}}
{{item.content}}
暂无互动评论
发布
尽揽千万族谱
姓氏族谱博物馆
姓氏族谱 0
字辈表 4
源流 8
相关始祖
下载APP立即进入
99+

姓氏家族圈

全网第 0 大家族
已有 0 万位宗亲
{{memberTotal}}名宗亲正在热聊 快来加入
{{t.username}}:{{t.content}}
微信
QQ空间
QQ
微博