扫一扫,手机查看
崑新兩縣續修合志卷四十五至卷四十六_吳金瀾李福沂敦善堂
下载PDF
收藏
热门族谱匹配度排行
中国方志丛书·华中地方·第二九七号··湖南省·东安县志(一、二)
中国方志丛书·华中地方·第二九七号··湖南省·东安县志(一、二)
寿昌县志(1-2)
寿昌县志(1-2)
遂溪县志(1-3)
遂溪县志(1-3)
湖南省-019道州志十二卷 清 盛赓 修 清 许清源 纂 清光绪三年刊本
湖南省-019道州志十二卷 清 盛赓 修 清 许清源 纂 清光绪三年刊本
扫一扫,手机查看
崑新兩縣續修合志卷四十五至卷四十六_吳金瀾李福沂敦善堂
崑新兩縣續修合志卷四十五至卷四十六_吳金瀾李福沂敦善堂
姓氏:  
堂号:  
暂无相关信息
编修:  
暂无相关信息
编修时间:  
页数: 144 
浏览:  
217
散居地:  
不详
始祖:  
不详
查阅族谱
下载族谱
地方志简介
为你甄选百氏族谱
11_02康熙 安乡县志
11_02康熙 安乡县志
浏览:3676
页数:146
02_02万历 太平府志
02_02万历 太平府志
浏览:3512
页数:188
101 嘉靖洪雅县志 四川省
101 嘉靖洪雅县志 四川省
浏览:4148
页数:261
日本藏中国罕见地方志丛刊—[万历]粤大记,著,书目文献出版社,545页
日本藏中国罕见地方志丛刊—[万历]粤大记,著,书目文献出版社,545页
浏览:3105
页数:545
地方志查阅
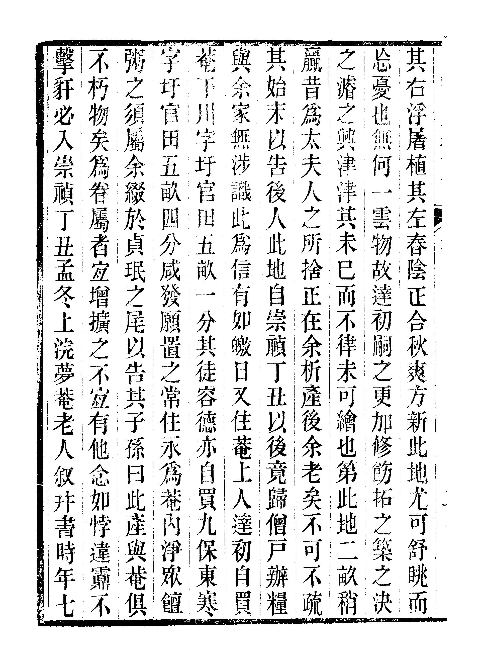
摘自《崑新兩縣續修合志卷四十五至卷四十六_吳金瀾李福沂敦善堂》
本方志共有144页,阅览1
本方志共有144页,阅览2
本方志共有144页,阅览3
本方志共有144页,阅览4
本方志共有144页,阅览5
您与当前族谱匹配度约
93.8%
会员可免费查看寻根
感谢您对族谱文化及修谱师的支持!
查阅查阅全部144页
正在为您生成PDF文件 生成时间大概需要10~30分钟左右,请稍后再试。
或者您也可以联系下方客服为您下载
族谱王官方公众号
微信号:zupu2022
全部互动({{commentTotal}})
{{item.userName}}
{{item.createAt}}
{{item.content}}
暂无互动评论
发布
尽揽千万族谱
姓氏族谱博物馆
姓氏族谱 0
字辈表 4
源流 8
相关始祖
下载APP立即进入
99+

姓氏家族圈

全网第 0 大家族
已有 0 万位宗亲
{{memberTotal}}名宗亲正在热聊 快来加入
{{t.username}}:{{t.content}}
微信
QQ空间
QQ
微博