扫一扫,手机查看
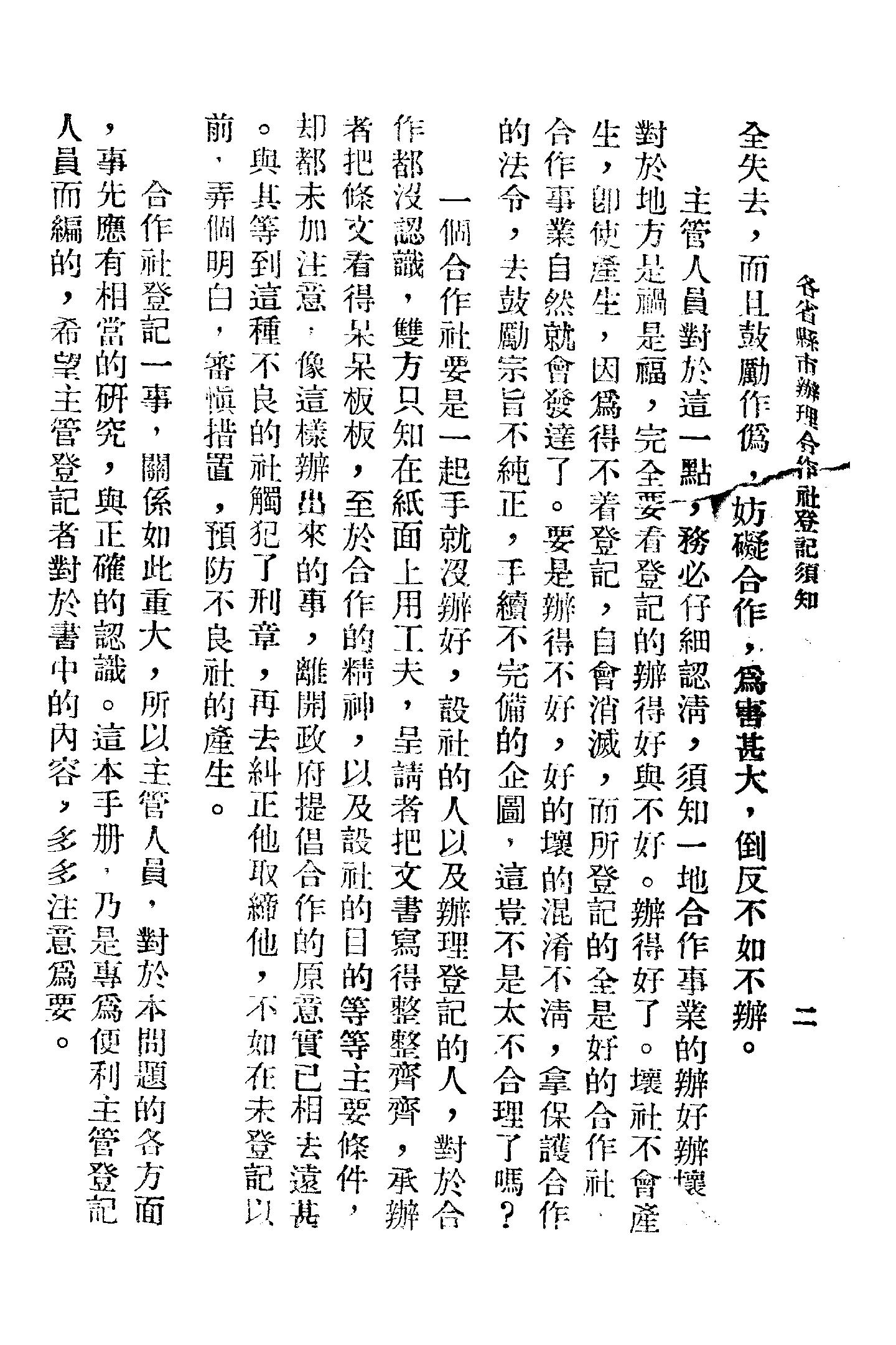
各省縣市辦理合作社登記須知_實業部合作司
下载PDF
收藏
热门族谱匹配度排行
09 万历 吉安府志
09 万历 吉安府志
中国方志丛书·华中地方·第三九二号·四川省·宜宾县志(一)、(二)
中国方志丛书·华中地方·第三九二号·四川省·宜宾县志(一)、(二)
南汇县续志(一、二)
南汇县续志(一、二)
东北-027:开原县志
东北-027:开原县志
扫一扫,手机查看
各省縣市辦理合作社登記須知_實業部合作司
各省縣市辦理合作社登記須知_實業部合作司
姓氏:  
堂号:  
暂无相关信息
编修:  
暂无相关信息
编修时间:  
页数: 87 
浏览:  
275
散居地:  
不详
始祖:  
不详
查阅族谱
下载族谱
地方志简介
为你甄选七氏族谱
东北-029:依安县志
东北-029:依安县志
浏览:3096
页数:39
泰州新志刊缪(全)
泰州新志刊缪(全)
浏览:2409
页数:327
安徽省-018旌德县续志十卷 附两江忠义录二卷 清 王椿林 修 清 胡承珙 纂 清道光六年修民国十四年重刊本
安徽省-018旌德县续志十卷 附两江忠义录二卷 清 王椿林 修 清 胡承珙 纂 清道光六年修民国十四年重刊本
浏览:2809
页数:391
东北-026:奉化县志
东北-026:奉化县志
浏览:3497
页数:498
地方志查阅
摘自《各省縣市辦理合作社登記須知_實業部合作司》
本方志共有87页,阅览1
本方志共有87页,阅览2
本方志共有87页,阅览3
本方志共有87页,阅览4
本方志共有87页,阅览5
您与当前族谱匹配度约
88.8%
会员可免费查看寻根
感谢您对族谱文化及修谱师的支持!
查阅查阅全部87页
正在为您生成PDF文件 生成时间大概需要10~30分钟左右,请稍后再试。
或者您也可以联系下方客服为您下载
族谱王官方公众号
微信号:zupu2022
全部互动({{commentTotal}})
{{item.userName}}
{{item.createAt}}
{{item.content}}
暂无互动评论
发布
尽揽千万族谱
姓氏族谱博物馆
姓氏族谱 0
字辈表 4
源流 8
相关始祖
下载APP立即进入
99+

姓氏家族圈

全网第 0 大家族
已有 0 万位宗亲
{{memberTotal}}名宗亲正在热聊 快来加入
{{t.username}}:{{t.content}}
文献资料
微信
QQ空间
QQ
微博