扫一扫,手机查看
[道光]清澗縣志卷二至卷四_鍾章元
下载PDF
收藏
热门族谱匹配度排行
湻安县志(1-5)
湻安县志(1-5)
南昌县志(一、二、三、四)
南昌县志(一、二、三、四)
施南府志(一、二、三、四、五、六)
施南府志(一、二、三、四、五、六)
松州府续志3-11
松州府续志3-11
扫一扫,手机查看
[道光]清澗縣志卷二至卷四_鍾章元
[道光]清澗縣志卷二至卷四_鍾章元
姓氏:  
堂号:  
暂无相关信息
编修:  
暂无相关信息
编修时间:  
页数: 175 
浏览:  
233
散居地:  
不详
始祖:  
不详
查阅族谱
下载族谱
地方志简介
为你甄选四氏族谱
天一阁藏明代方志选刊(59)万历慈利县志(湖南省)
天一阁藏明代方志选刊(59)万历慈利县志(湖南省)
浏览:2555
页数:363
罗江县志(1-2)
罗江县志(1-2)
浏览:4016
页数:608
察哈尔-18.察哈尔省.宣化府志(1册)(42卷)
察哈尔-18.察哈尔省.宣化府志(1册)(42卷)
浏览:3598
页数:816
慈谿县志(一、二)
慈谿县志(一、二)
浏览:2597
页数:926
地方志查阅
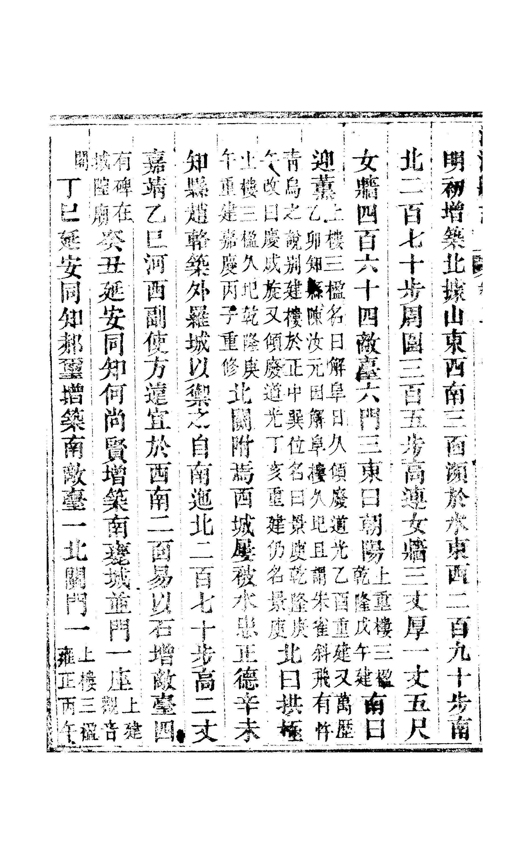
摘自《[道光]清澗縣志卷二至卷四_鍾章元》
本方志共有175页,阅览1
本方志共有175页,阅览2
本方志共有175页,阅览3
本方志共有175页,阅览4
本方志共有175页,阅览5
您与当前族谱匹配度约
95.8%
会员可免费查看寻根
感谢您对族谱文化及修谱师的支持!
查阅查阅全部175页
正在为您生成PDF文件 生成时间大概需要10~30分钟左右,请稍后再试。
或者您也可以联系下方客服为您下载
族谱王官方公众号
微信号:zupu2022
全部互动({{commentTotal}})
{{item.userName}}
{{item.createAt}}
{{item.content}}
暂无互动评论
发布
尽揽千万族谱
姓氏族谱博物馆
姓氏族谱 0
字辈表 4
源流 8
相关始祖
下载APP立即进入
99+

姓氏家族圈

全网第 0 大家族
已有 0 万位宗亲
{{memberTotal}}名宗亲正在热聊 快来加入
{{t.username}}:{{t.content}}
文献资料
微信
QQ空间
QQ
微博