扫一扫,手机查看
涇陽縣志十卷卷七_葛晨
下载PDF
收藏
热门族谱匹配度排行
中国方志丛书·华北地方·第三六六号··山东省·日照县志(一、二)
中国方志丛书·华北地方·第三六六号··山东省·日照县志(一、二)
东北-039:珠河县志
东北-039:珠河县志
新修阌乡县志(1-2)
新修阌乡县志(1-2)
中国方志丛书·华北地方·第三六五号··山东省·长清县志(一、二、三)
中国方志丛书·华北地方·第三六五号··山东省·长清县志(一、二、三)
扫一扫,手机查看
涇陽縣志十卷卷七_葛晨
涇陽縣志十卷卷七_葛晨
姓氏:  
堂号:  
暂无相关信息
编修:  
暂无相关信息
编修时间:  
页数: 93 
浏览:  
730
散居地:  
不详
始祖:  
不详
查阅族谱
下载族谱
地方志简介
为你甄选十氏族谱
朝城县乡土(全)
朝城县乡土(全)
浏览:6745
页数:78
中国方志丛书·华北地方·第三九五号·山东省·利津县志补(全)
中国方志丛书·华北地方·第三九五号·山东省·利津县志补(全)
浏览:3540
页数:124
中国方志丛书·华北地方·第三六四号··山东省·续修东阿县志(全)
中国方志丛书·华北地方·第三六四号··山东省·续修东阿县志(全)
浏览:2937
页数:467
金陵通纪(1-2)
金陵通纪(1-2)
浏览:3929
页数:607
地方志查阅
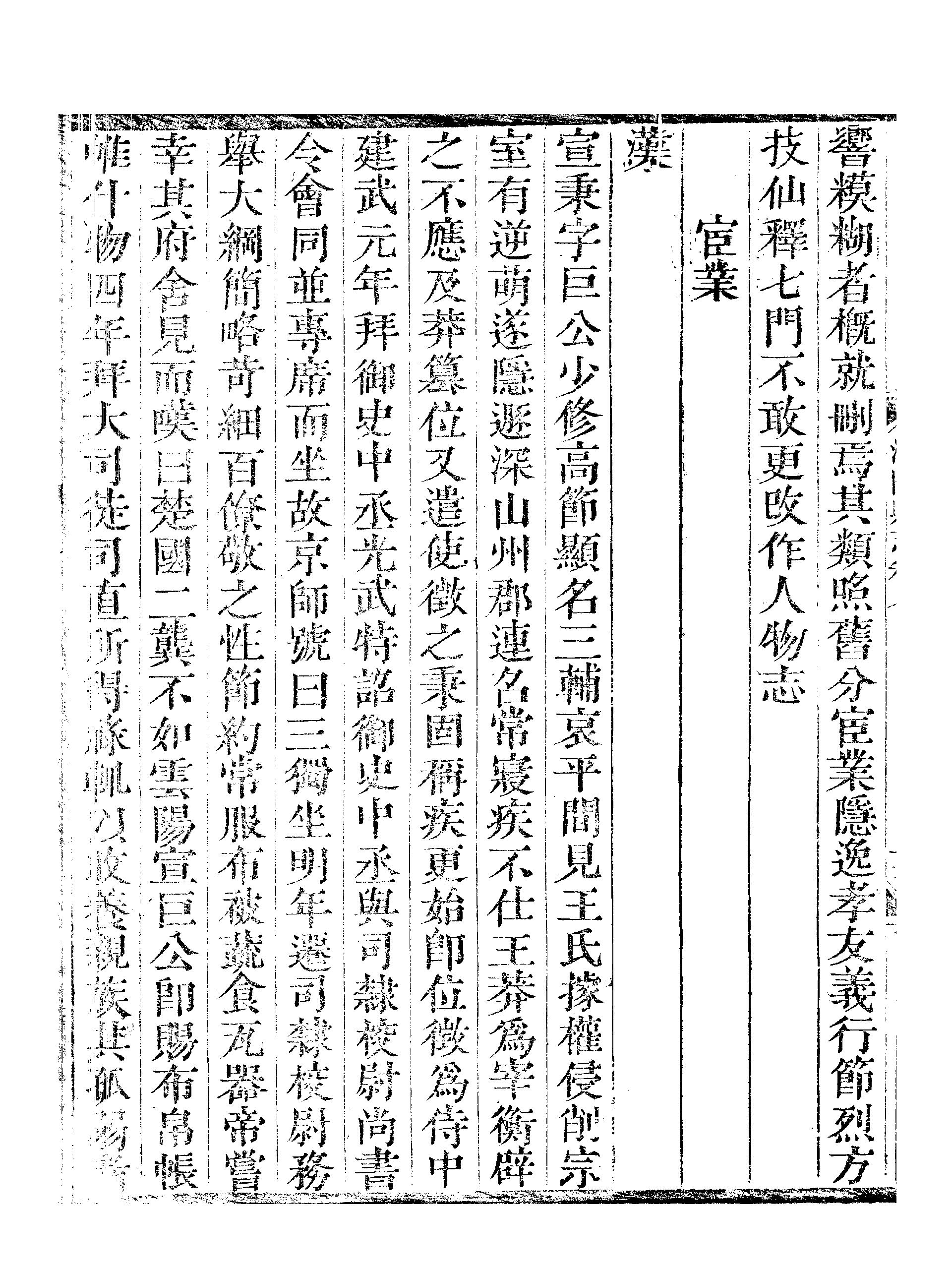
摘自《涇陽縣志十卷卷七_葛晨》
本方志共有93页,阅览1
本方志共有93页,阅览2
本方志共有93页,阅览3
本方志共有93页,阅览4
本方志共有93页,阅览5
您与当前族谱匹配度约
97.8%
会员可免费查看寻根
感谢您对族谱文化及修谱师的支持!
查阅查阅全部93页
正在为您生成PDF文件 生成时间大概需要10~30分钟左右,请稍后再试。
或者您也可以联系下方客服为您下载
族谱王官方公众号
微信号:zupu2022
全部互动({{commentTotal}})
{{item.userName}}
{{item.createAt}}
{{item.content}}
暂无互动评论
发布
尽揽千万族谱
姓氏族谱博物馆
姓氏族谱 0
字辈表 4
源流 8
相关始祖
下载APP立即进入
99+

姓氏家族圈

全网第 0 大家族
已有 0 万位宗亲
{{memberTotal}}名宗亲正在热聊 快来加入
{{t.username}}:{{t.content}}
文献资料
微信
QQ空间
QQ
微博