扫一扫,手机查看
澄城縣志卷十二至卷十五_韓亞熊
下载PDF
收藏
热门族谱匹配度排行
07 万历 续修严州府志
07 万历 续修严州府志
日本藏中国罕见地方志丛刊—[万历]严州府志,著,书目文献出版社,1979年9月第1版,563页
日本藏中国罕见地方志丛刊—[万历]严州府志,著,书目文献出版社,1979年9月第1版,563页
天一阁藏明代方志选刊(49)嘉靖尉氏县志(河南省)
天一阁藏明代方志选刊(49)嘉靖尉氏县志(河南省)
中国方志丛书·华中地方·第二五三号··江西省·抚州府志(一、二、三、四、五)
中国方志丛书·华中地方·第二五三号··江西省·抚州府志(一、二、三、四、五)
扫一扫,手机查看
澄城縣志卷十二至卷十五_韓亞熊
澄城縣志卷十二至卷十五_韓亞熊
姓氏:  
堂号:  
暂无相关信息
编修:  
暂无相关信息
编修时间:  
页数: 182 
浏览:  
731
散居地:  
不详
始祖:  
不详
查阅族谱
下载族谱
地方志简介
为你甄选三氏族谱
闽小记(全)
闽小记(全)
浏览:3308
页数:129
筹豫近言(全)
筹豫近言(全)
浏览:5908
页数:311
顺德龙江乡志(全)
顺德龙江乡志(全)
浏览:7756
页数:462
天一阁藏明代方志选刊(55)嘉靖蕲州志(湖北省)
天一阁藏明代方志选刊(55)嘉靖蕲州志(湖北省)
浏览:3707
页数:466
地方志查阅
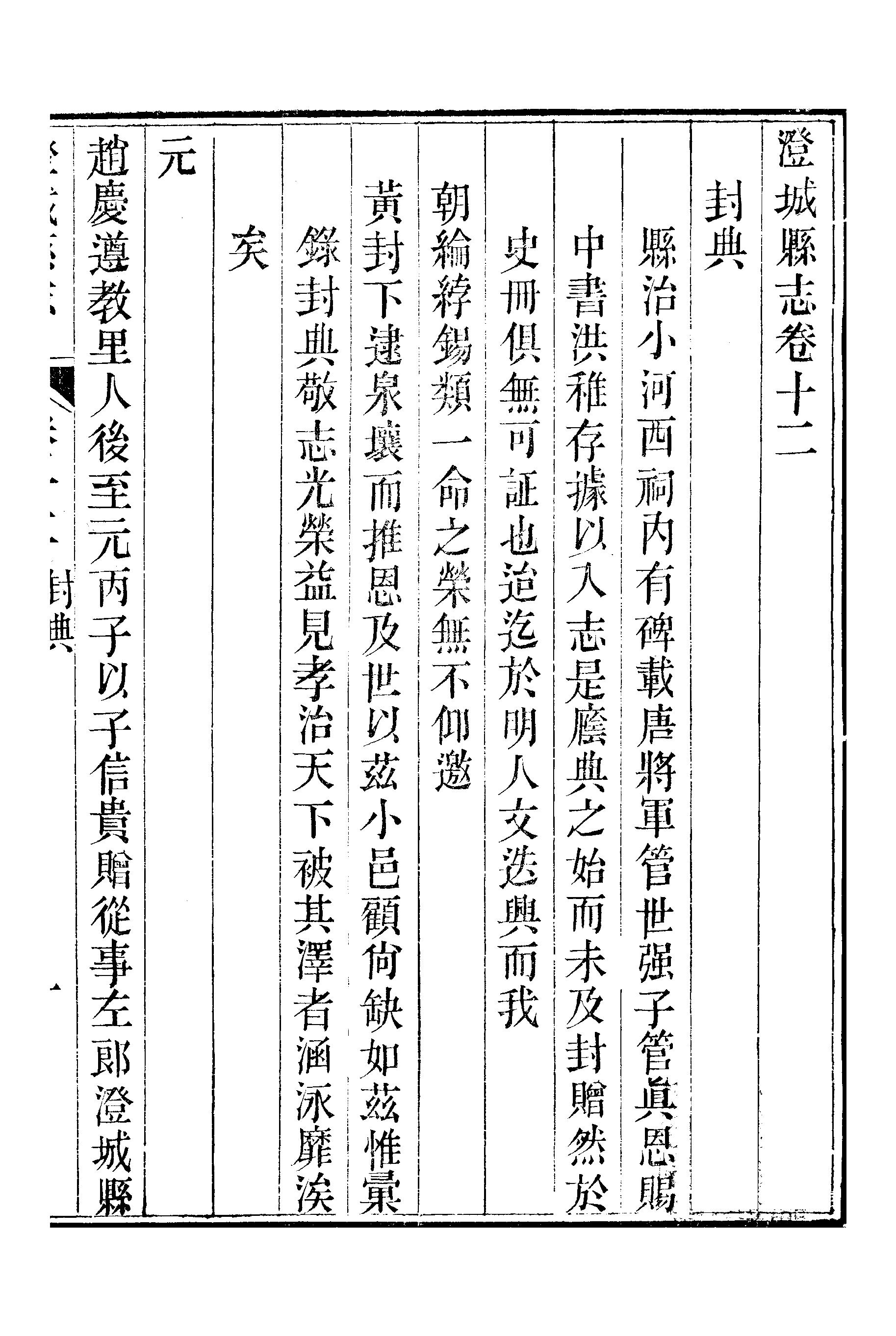
摘自《澄城縣志卷十二至卷十五_韓亞熊》
本方志共有182页,阅览1
本方志共有182页,阅览2
本方志共有182页,阅览3
本方志共有182页,阅览4
本方志共有182页,阅览5
您与当前族谱匹配度约
97.8%
会员可免费查看寻根
感谢您对族谱文化及修谱师的支持!
查阅查阅全部182页
正在为您生成PDF文件 生成时间大概需要10~30分钟左右,请稍后再试。
或者您也可以联系下方客服为您下载
族谱王官方公众号
微信号:zupu2022
全部互动({{commentTotal}})
{{item.userName}}
{{item.createAt}}
{{item.content}}
暂无互动评论
发布
尽揽千万族谱
姓氏族谱博物馆
姓氏族谱 0
字辈表 4
源流 8
相关始祖
下载APP立即进入
99+

姓氏家族圈

全网第 0 大家族
已有 0 万位宗亲
{{memberTotal}}名宗亲正在热聊 快来加入
{{t.username}}:{{t.content}}
微信
QQ空间
QQ
微博