扫一扫,手机查看
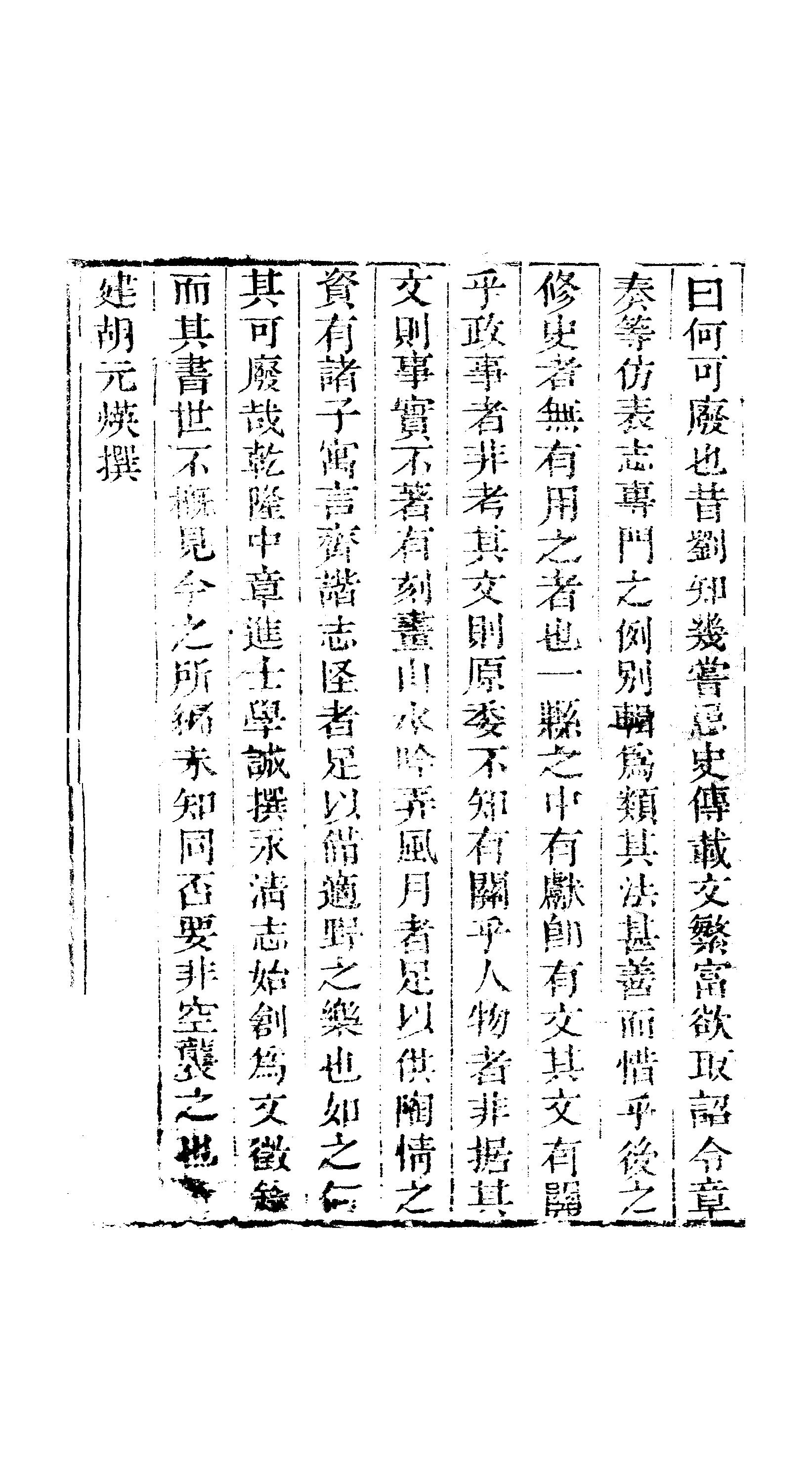
〔光緒〕續修藍田縣志藍田縣文徵錄卷一至卷四_胡元煐
下载PDF
收藏
热门族谱匹配度排行
瓯宁县志(全)
瓯宁县志(全)
中国方志丛书·华中地方·第三九五号·江苏省·重刊荊溪縣志
中国方志丛书·华中地方·第三九五号·江苏省·重刊荊溪縣志
四明志(一、二)
四明志(一、二)
慈谿县志(1-3)_0
慈谿县志(1-3)_0
扫一扫,手机查看
〔光緒〕續修藍田縣志藍田縣文徵錄卷一至卷四_胡元煐
〔光緒〕續修藍田縣志藍田縣文徵錄卷一至卷四_胡元煐
姓氏:  
堂号:  
暂无相关信息
编修:  
暂无相关信息
编修时间:  
页数: 194 
浏览:  
207
散居地:  
不详
始祖:  
不详
查阅族谱
下载族谱
地方志简介
为你甄选七氏族谱
城固县乡土志(全)
城固县乡土志(全)
浏览:9616
页数:60
宁明州志(全)
宁明州志(全)
浏览:4741
页数:142
黑龙江通志綱要(全)
黑龙江通志綱要(全)
浏览:2247
页数:162
20_02顺治 光州志
20_02顺治 光州志
浏览:6731
页数:229
地方志查阅
摘自《〔光緒〕續修藍田縣志藍田縣文徵錄卷一至卷四_胡元煐》
本方志共有194页,阅览1
本方志共有194页,阅览2
本方志共有194页,阅览3
本方志共有194页,阅览4
本方志共有194页,阅览5
您与当前族谱匹配度约
97.8%
会员可免费查看寻根
感谢您对族谱文化及修谱师的支持!
查阅查阅全部194页
正在为您生成PDF文件 生成时间大概需要10~30分钟左右,请稍后再试。
或者您也可以联系下方客服为您下载
族谱王官方公众号
微信号:zupu2022
全部互动({{commentTotal}})
{{item.userName}}
{{item.createAt}}
{{item.content}}
暂无互动评论
发布
尽揽千万族谱
姓氏族谱博物馆
姓氏族谱 0
字辈表 4
源流 8
相关始祖
下载APP立即进入
99+

姓氏家族圈

全网第 0 大家族
已有 0 万位宗亲
{{memberTotal}}名宗亲正在热聊 快来加入
{{t.username}}:{{t.content}}
文献资料
微信
QQ空间
QQ
微博