扫一扫,手机查看
榆林縣志五十卷卷三至卷八_張立德
下载PDF
收藏
热门族谱匹配度排行
78 嘉靖兰阳县志 河南省
78 嘉靖兰阳县志 河南省
kw1055.中国地方志集成 乡镇志专辑-中国地方志集成 乡镇志专辑(28)天津杨柳青小志
kw1055.中国地方志集成 乡镇志专辑-中国地方志集成 乡镇志专辑(28)天津杨柳青小志
50 嘉靖赣州府志 江西省
50 嘉靖赣州府志 江西省
承德府志(一、二、三、四)
承德府志(一、二、三、四)
扫一扫,手机查看
榆林縣志五十卷卷三至卷八_張立德
榆林縣志五十卷卷三至卷八_張立德
姓氏:  
堂号:  
暂无相关信息
编修:  
暂无相关信息
编修时间:  
页数: 57 
浏览:  
223
散居地:  
不详
始祖:  
不详
查阅族谱
下载族谱
地方志简介
为你甄选仟氏族谱
18_02道光 重辑新宁县志
18_02道光 重辑新宁县志
浏览:13233
页数:347
东北-020:辉南县志
东北-020:辉南县志
浏览:2256
页数:390
天一阁藏明代方志选刊(51)嘉靖固始县志(河南省)
天一阁藏明代方志选刊(51)嘉靖固始县志(河南省)
浏览:3442
页数:416
76 嘉靖固始县志 河南省
76 嘉靖固始县志 河南省
浏览:4894
页数:417
地方志查阅
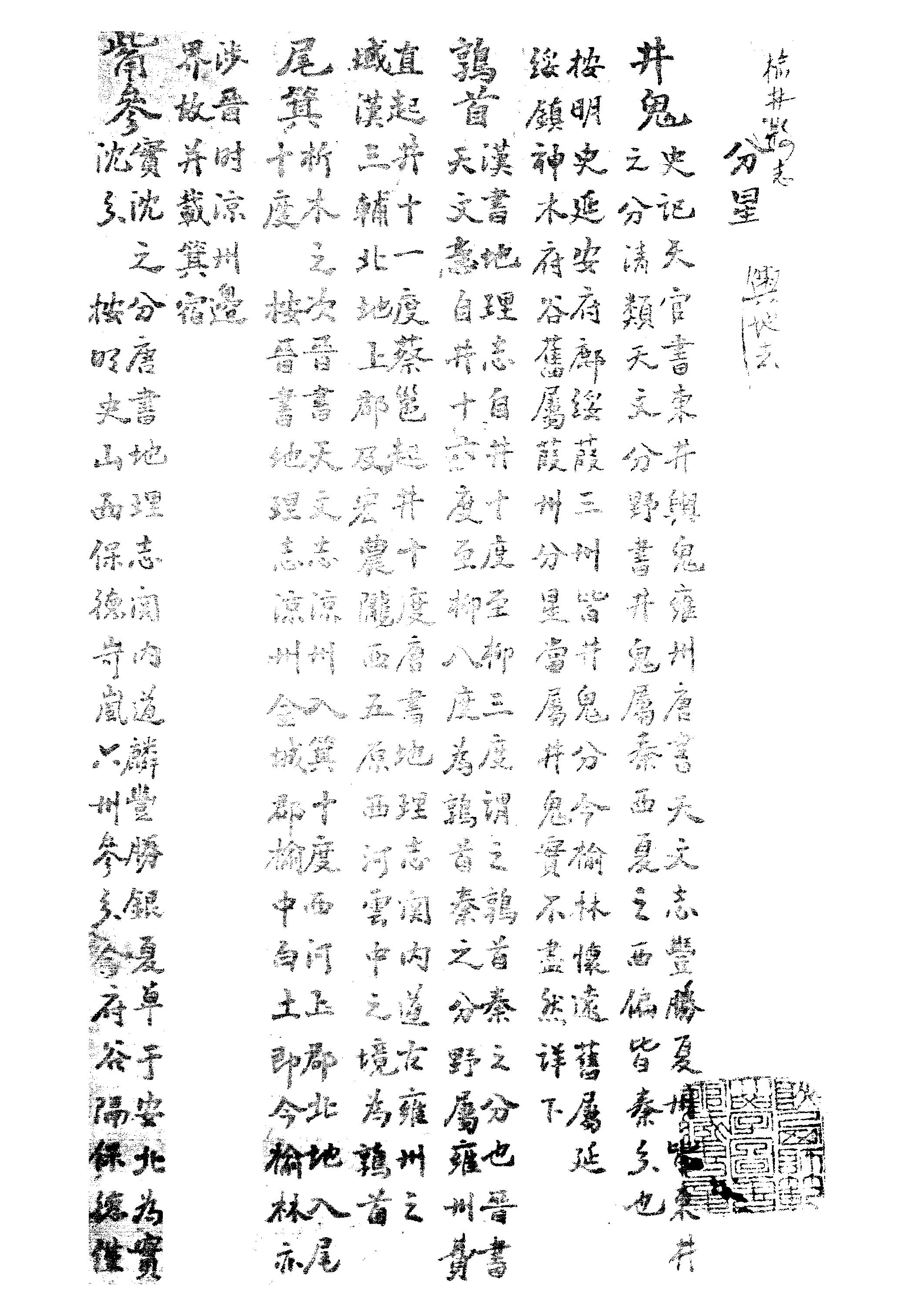
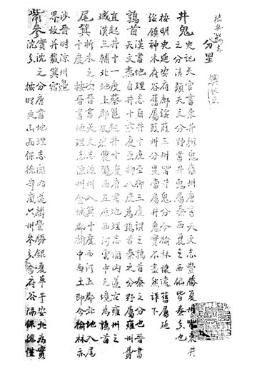
摘自《榆林縣志五十卷卷三至卷八_張立德》
本方志共有57页,阅览1
本方志共有57页,阅览2
本方志共有57页,阅览3
本方志共有57页,阅览4
本方志共有57页,阅览5
您与当前族谱匹配度约
97.8%
会员可免费查看寻根
感谢您对族谱文化及修谱师的支持!
查阅查阅全部57页
正在为您生成PDF文件 生成时间大概需要10~30分钟左右,请稍后再试。
或者您也可以联系下方客服为您下载
族谱王官方公众号
微信号:zupu2022
全部互动({{commentTotal}})
{{item.userName}}
{{item.createAt}}
{{item.content}}
暂无互动评论
发布
尽揽千万族谱
姓氏族谱博物馆
姓氏族谱 0
字辈表 4
源流 8
相关始祖
下载APP立即进入
99+

姓氏家族圈

全网第 0 大家族
已有 0 万位宗亲
{{memberTotal}}名宗亲正在热聊 快来加入
{{t.username}}:{{t.content}}
微信
QQ空间
QQ
微博