扫一扫,手机查看
蒲城縣志稿重修朹嶽廟記_原清月陝師大圖書館
下载PDF
收藏
热门族谱匹配度排行
续修清平县志(1-2)
续修清平县志(1-2)
续修江都县志(二、三、四、五)
续修江都县志(二、三、四、五)
邕宁县志(一、二、三、四)_0
邕宁县志(一、二、三、四)_0
安徽省-025徽州府志十六卷 图一卷 附郡志辨证一卷 清 马步蟾 修 清 夏銮 纂 清道光七年刊本
安徽省-025徽州府志十六卷 图一卷 附郡志辨证一卷 清 马步蟾 修 清 夏銮 纂 清道光七年刊本
扫一扫,手机查看
蒲城縣志稿重修朹嶽廟記_原清月陝師大圖書館
蒲城縣志稿重修朹嶽廟記_原清月陝師大圖書館
姓氏:  
堂号:  
暂无相关信息
编修:  
暂无相关信息
编修时间:  
页数: 112 
浏览:  
241
散居地:  
不详
始祖:  
不详
查阅族谱
下载族谱
地方志简介
为你甄选叁氏族谱
富阳县新志补正
富阳县新志补正
浏览:2136
页数:125
80 嘉靖内黄县志 河南省
80 嘉靖内黄县志 河南省
浏览:2617
页数:189
朝邑县后志(1-2)
朝邑县后志(1-2)
浏览:6688
页数:499
续修钜野县志(二)
续修钜野县志(二)
浏览:4835
页数:866
地方志查阅
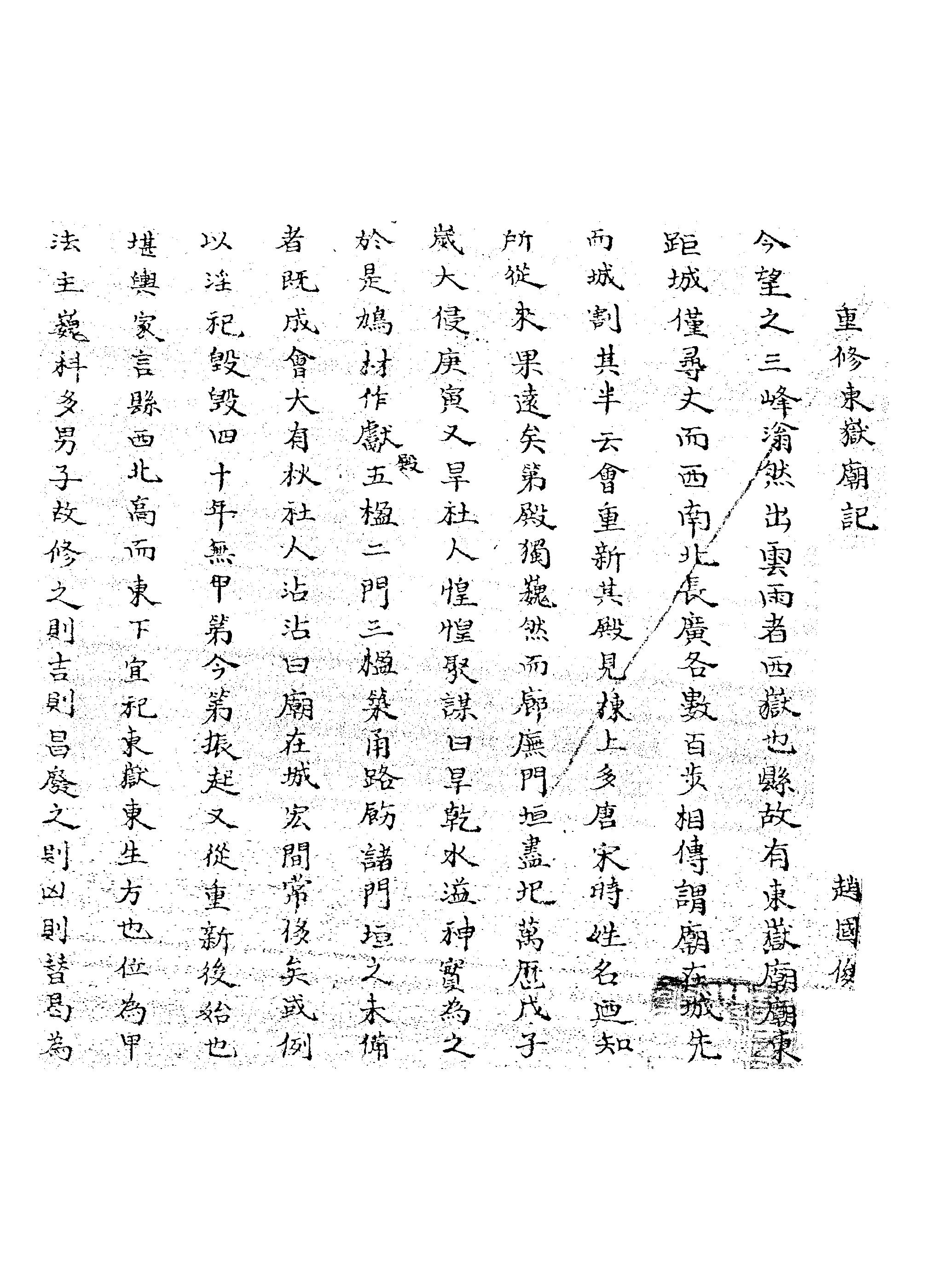
摘自《蒲城縣志稿重修朹嶽廟記_原清月陝師大圖書館》
本方志共有112页,阅览1
本方志共有112页,阅览2
本方志共有112页,阅览3
本方志共有112页,阅览4
本方志共有112页,阅览5
您与当前族谱匹配度约
90.8%
会员可免费查看寻根
感谢您对族谱文化及修谱师的支持!
查阅查阅全部112页
正在为您生成PDF文件 生成时间大概需要10~30分钟左右,请稍后再试。
或者您也可以联系下方客服为您下载
族谱王官方公众号
微信号:zupu2022
全部互动({{commentTotal}})
{{item.userName}}
{{item.createAt}}
{{item.content}}
暂无互动评论
发布
尽揽千万族谱
姓氏族谱博物馆
姓氏族谱 0
字辈表 4
源流 8
相关始祖
下载APP立即进入
99+

姓氏家族圈

全网第 0 大家族
已有 0 万位宗亲
{{memberTotal}}名宗亲正在热聊 快来加入
{{t.username}}:{{t.content}}
微信
QQ空间
QQ
微博