扫一扫,手机查看
〔同治〕三水縣志十二卷卷四至卷八_姜桐岡
下载PDF
收藏
热门族谱匹配度排行
103 嘉靖思南府志 贵州省
103 嘉靖思南府志 贵州省
kw1055.中国地方志集成 乡镇志专辑-中国地方志集成 乡镇志专辑 07
kw1055.中国地方志集成 乡镇志专辑-中国地方志集成 乡镇志专辑 07
宁津县志(一、二、三)
宁津县志(一、二、三)
中国方志丛书·华中地方·第三九三号·江苏省·江都县志(一)、(二)、(
中国方志丛书·华中地方·第三九三号·江苏省·江都县志(一)、(二)、(
扫一扫,手机查看
〔同治〕三水縣志十二卷卷四至卷八_姜桐岡
〔同治〕三水縣志十二卷卷四至卷八_姜桐岡
姓氏:  
堂号:  
暂无相关信息
编修:  
暂无相关信息
编修时间:  
页数: 141 
浏览:  
229
散居地:  
不详
始祖:  
不详
查阅族谱
下载族谱
地方志简介
为你甄选柒氏族谱
中国方志丛书·华北地方·第三九一号·山东省·新城县续志(全)
中国方志丛书·华北地方·第三九一号·山东省·新城县续志(全)
浏览:3981
页数:149
26_03 万历 六安州志
26_03 万历 六安州志
浏览:2675
页数:181
104 嘉靖普安州志 贵州省
104 嘉靖普安州志 贵州省
浏览:2856
页数:248
平和县志(全)
平和县志(全)
浏览:7102
页数:294
地方志查阅
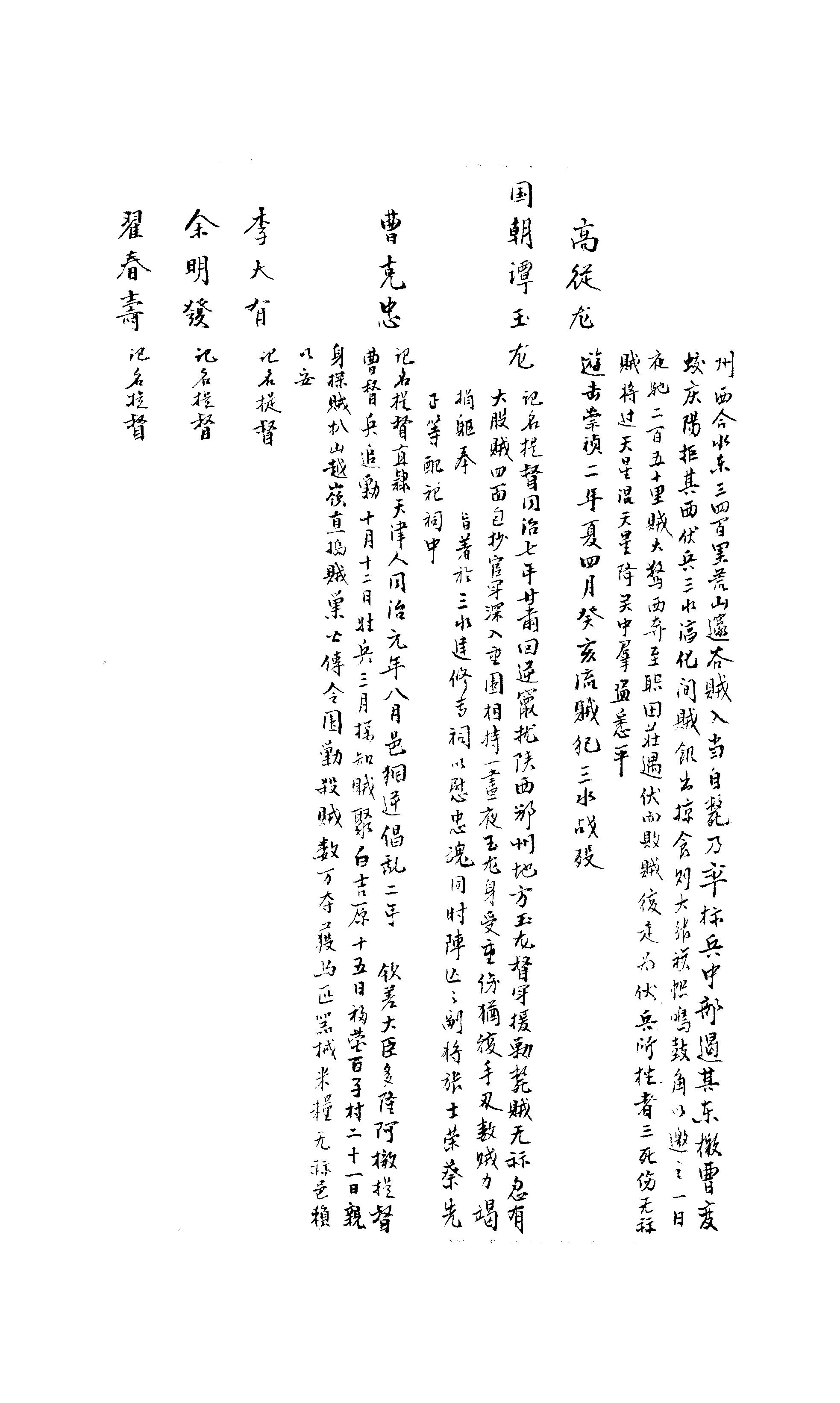
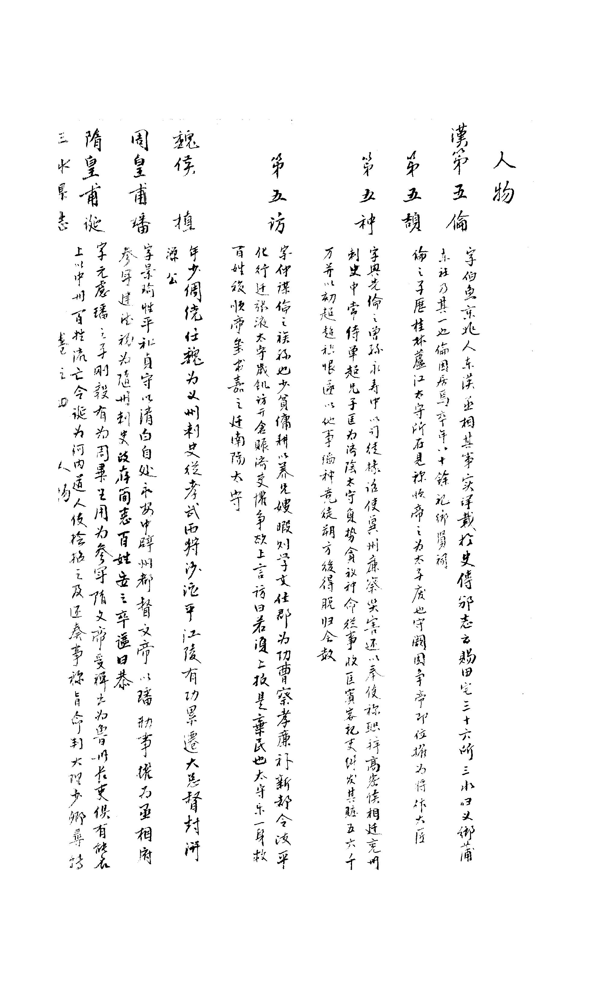
摘自《〔同治〕三水縣志十二卷卷四至卷八_姜桐岡》
本方志共有141页,阅览1
本方志共有141页,阅览2
本方志共有141页,阅览3
本方志共有141页,阅览4
本方志共有141页,阅览5
您与当前族谱匹配度约
89.8%
会员可免费查看寻根
感谢您对族谱文化及修谱师的支持!
查阅查阅全部141页
正在为您生成PDF文件 生成时间大概需要10~30分钟左右,请稍后再试。
或者您也可以联系下方客服为您下载
族谱王官方公众号
微信号:zupu2022
全部互动({{commentTotal}})
{{item.userName}}
{{item.createAt}}
{{item.content}}
暂无互动评论
发布
尽揽千万族谱
姓氏族谱博物馆
姓氏族谱 0
字辈表 4
源流 8
相关始祖
下载APP立即进入
99+

姓氏家族圈

全网第 0 大家族
已有 0 万位宗亲
{{memberTotal}}名宗亲正在热聊 快来加入
{{t.username}}:{{t.content}}
微信
QQ空间
QQ
微博