扫一扫,手机查看
金堂縣志七_謝惟傑
下载PDF
收藏
热门族谱匹配度排行
续纂江宁府志(1-2)
续纂江宁府志(1-2)
东北-001:复县志略
东北-001:复县志略
始兴县志(1-3)
始兴县志(1-3)
松江府志(一、二、三)
松江府志(一、二、三)
扫一扫,手机查看
金堂縣志七_謝惟傑
金堂縣志七_謝惟傑
姓氏:  
堂号:  
暂无相关信息
编修:  
暂无相关信息
编修时间:  
页数: 155 
浏览:  
191
散居地:  
不详
始祖:  
不详
查阅族谱
下载族谱
地方志简介
为你甄选十氏族谱
14_01嘉靖 惠州府志
14_01嘉靖 惠州府志
浏览:4294
页数:166
03_03万历 建阳县志
03_03万历 建阳县志
浏览:3795
页数:243
南平县志(3-5)
南平县志(3-5)
浏览:17269
页数:348
中国佛寺志丛刊(共130册)-[中国佛寺志丛刊 第128册].白化文 张智主编
中国佛寺志丛刊(共130册)-[中国佛寺志丛刊 第128册].白化文 张智主编
浏览:4522
页数:452
地方志查阅
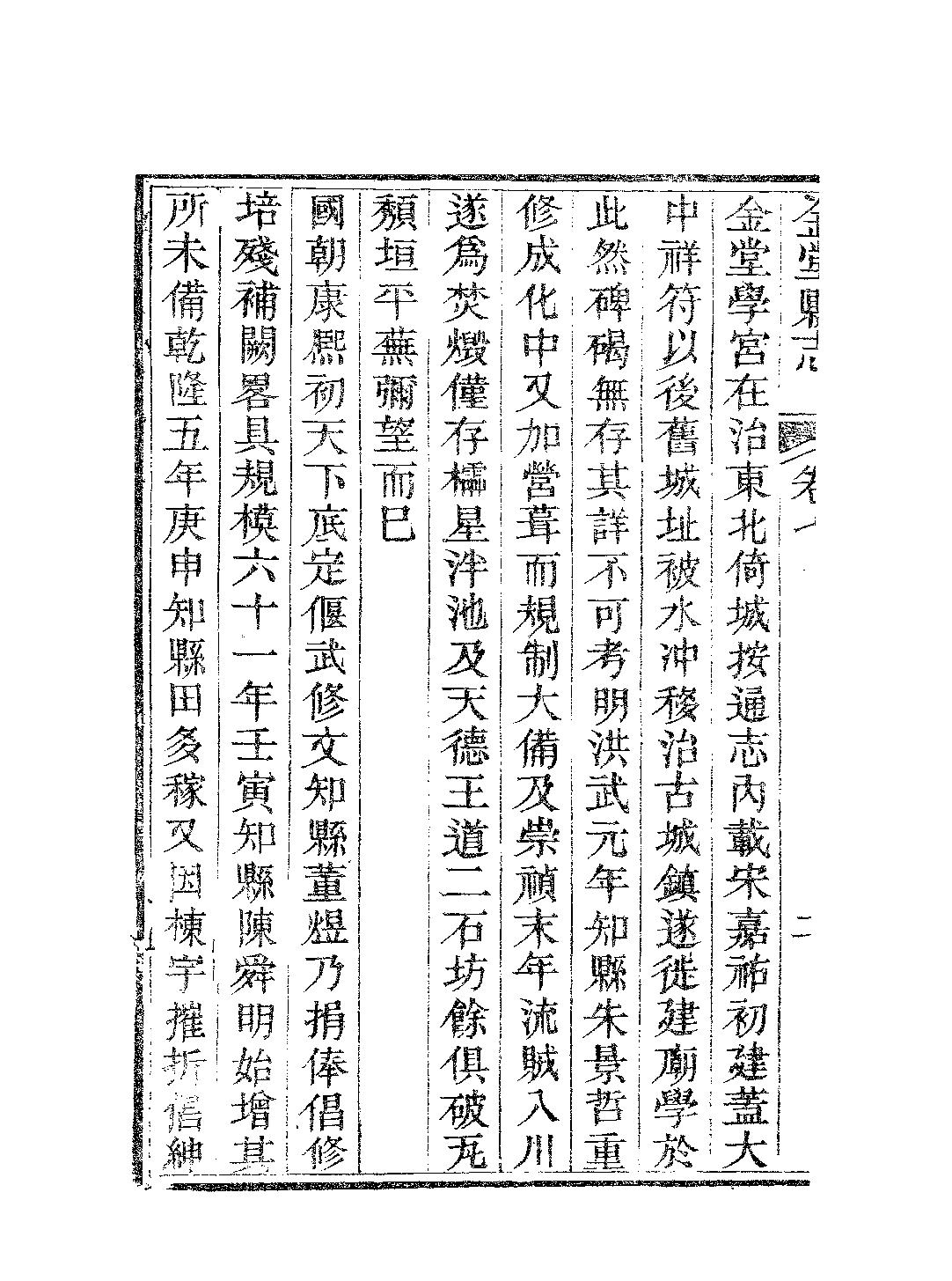
摘自《金堂縣志七_謝惟傑》
本方志共有155页,阅览1
本方志共有155页,阅览2
本方志共有155页,阅览3
本方志共有155页,阅览4
本方志共有155页,阅览5
您与当前族谱匹配度约
94.8%
会员可免费查看寻根
感谢您对族谱文化及修谱师的支持!
查阅查阅全部155页
正在为您生成PDF文件 生成时间大概需要10~30分钟左右,请稍后再试。
或者您也可以联系下方客服为您下载
族谱王官方公众号
微信号:zupu2022
全部互动({{commentTotal}})
{{item.userName}}
{{item.createAt}}
{{item.content}}
暂无互动评论
发布
尽揽千万族谱
姓氏族谱博物馆
姓氏族谱 0
字辈表 4
源流 8
相关始祖
下载APP立即进入
99+

姓氏家族圈

全网第 0 大家族
已有 0 万位宗亲
{{memberTotal}}名宗亲正在热聊 快来加入
{{t.username}}:{{t.content}}
文献资料
微信
QQ空间
QQ
微博