扫一扫,手机查看
溫江縣志五_李紹祖
下载PDF
收藏
热门族谱匹配度排行
二十七府州县屯卫赋役金书(一、二)
二十七府州县屯卫赋役金书(一、二)
珙县志(一、二、三)
珙县志(一、二、三)
安徽省-019历阳典录三十四卷 清 陈廷桂 纂修 清嘉庆三年修同治六年刊本
安徽省-019历阳典录三十四卷 清 陈廷桂 纂修 清嘉庆三年修同治六年刊本
92 正德琼台志 海南省
92 正德琼台志 海南省
扫一扫,手机查看
溫江縣志五_李紹祖
溫江縣志五_李紹祖
姓氏:  
堂号:  
暂无相关信息
编修:  
暂无相关信息
编修时间:  
页数: 120 
浏览:  
275
散居地:  
不详
始祖:  
不详
查阅族谱
下载族谱
地方志简介
为你甄选拾氏族谱
绍兴府(全)
绍兴府(全)
浏览:5634
页数:69
闽都记(全)
闽都记(全)
浏览:5422
页数:222
天一阁藏明代方志选刊(67)嘉靖思南府志
天一阁藏明代方志选刊(67)嘉靖思南府志
浏览:6210
页数:314
东北-019:长白汇征录
东北-019:长白汇征录
浏览:3491
页数:391
地方志查阅
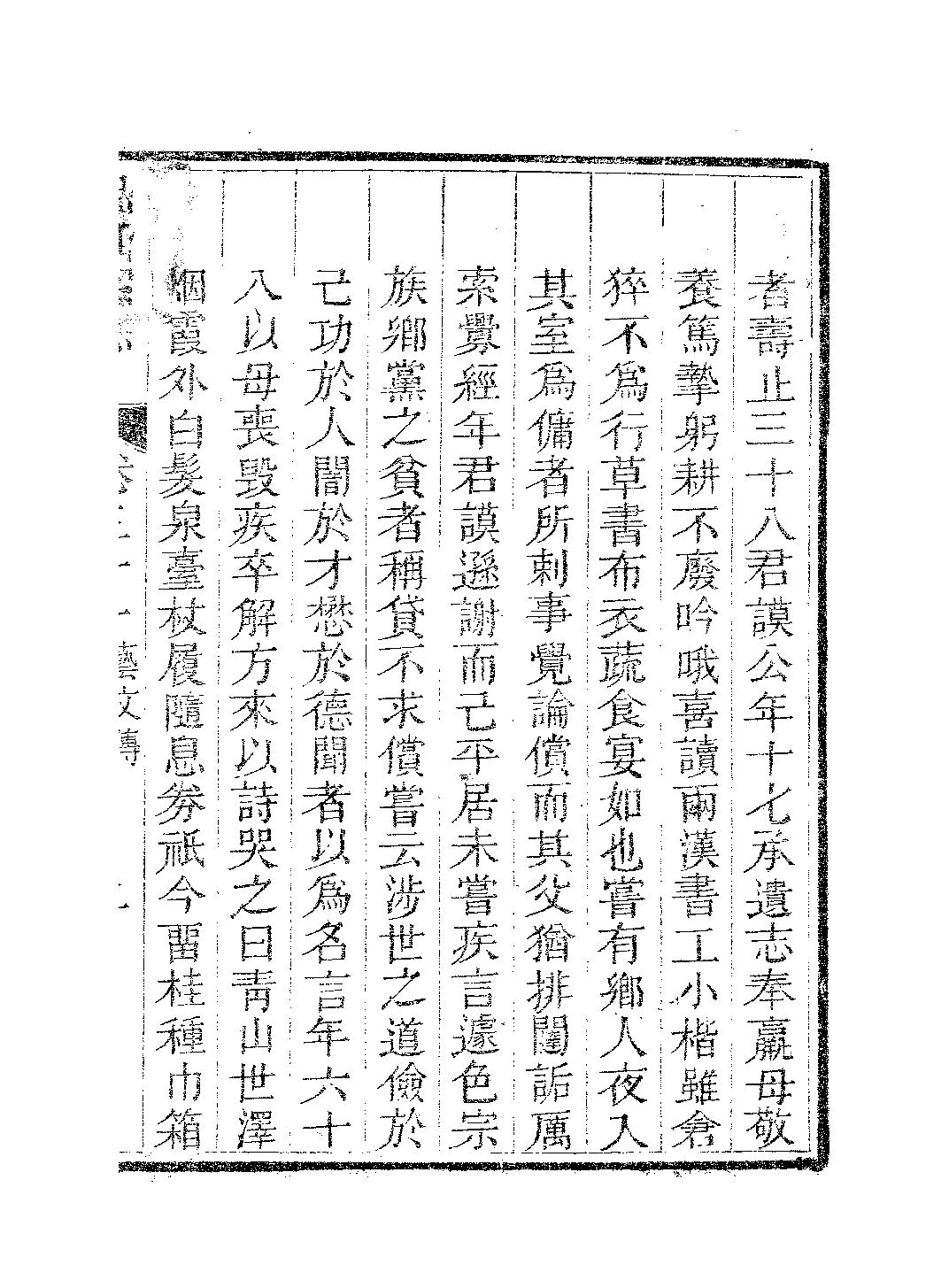
摘自《溫江縣志五_李紹祖》
本方志共有120页,阅览1
本方志共有120页,阅览2
本方志共有120页,阅览3
本方志共有120页,阅览4
本方志共有120页,阅览5
您与当前族谱匹配度约
95.8%
会员可免费查看寻根
感谢您对族谱文化及修谱师的支持!
查阅查阅全部120页
正在为您生成PDF文件 生成时间大概需要10~30分钟左右,请稍后再试。
或者您也可以联系下方客服为您下载
族谱王官方公众号
微信号:zupu2022
全部互动({{commentTotal}})
{{item.userName}}
{{item.createAt}}
{{item.content}}
暂无互动评论
发布
尽揽千万族谱
姓氏族谱博物馆
姓氏族谱 0
字辈表 4
源流 8
相关始祖
下载APP立即进入
99+

姓氏家族圈

全网第 0 大家族
已有 0 万位宗亲
{{memberTotal}}名宗亲正在热聊 快来加入
{{t.username}}:{{t.content}}
微信
QQ空间
QQ
微博