扫一扫,手机查看
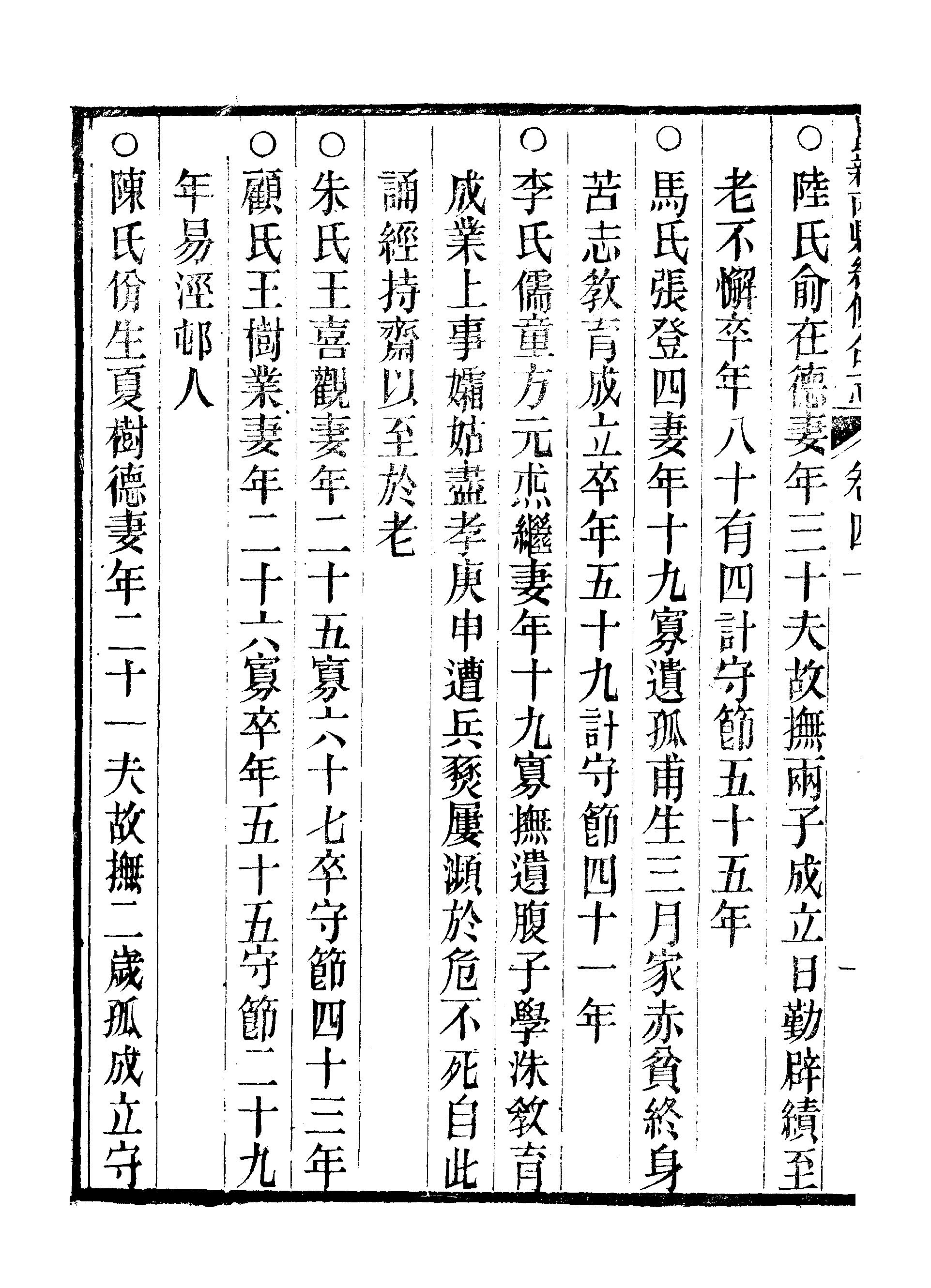
崑新兩縣續修合志卷四十至卷四十二_吳金瀾李福沂敦善堂
下载PDF
收藏
热门族谱匹配度排行
洞霄图志(全)
洞霄图志(全)
川沙厅志(一)
川沙厅志(一)
16 隆庆海州志 江苏省
16 隆庆海州志 江苏省
51 正德南康府志 江西省
51 正德南康府志 江西省
扫一扫,手机查看
崑新兩縣續修合志卷四十至卷四十二_吳金瀾李福沂敦善堂
崑新兩縣續修合志卷四十至卷四十二_吳金瀾李福沂敦善堂
姓氏:  
堂号:  
暂无相关信息
编修:  
暂无相关信息
编修时间:  
页数: 170 
浏览:  
137
散居地:  
不详
始祖:  
不详
查阅族谱
下载族谱
地方志简介
为你甄选百氏族谱
广东省-佛冈直隶军民厅志
广东省-佛冈直隶军民厅志
浏览:3301
页数:123
106 嘉靖略阳县志 陕西省
106 嘉靖略阳县志 陕西省
浏览:2396
页数:185
52 嘉靖永丰县志 江西省
52 嘉靖永丰县志 江西省
浏览:6297
页数:270
31 嘉靖宿州志 安徽省
31 嘉靖宿州志 安徽省
浏览:2933
页数:280
地方志查阅
摘自《崑新兩縣續修合志卷四十至卷四十二_吳金瀾李福沂敦善堂》
本方志共有170页,阅览1
本方志共有170页,阅览2
本方志共有170页,阅览3
本方志共有170页,阅览4
本方志共有170页,阅览5
您与当前族谱匹配度约
96.8%
会员可免费查看寻根
感谢您对族谱文化及修谱师的支持!
查阅查阅全部170页
正在为您生成PDF文件 生成时间大概需要10~30分钟左右,请稍后再试。
或者您也可以联系下方客服为您下载
族谱王官方公众号
微信号:zupu2022
全部互动({{commentTotal}})
{{item.userName}}
{{item.createAt}}
{{item.content}}
暂无互动评论
发布
尽揽千万族谱
姓氏族谱博物馆
姓氏族谱 0
字辈表 4
源流 8
相关始祖
下载APP立即进入
99+

姓氏家族圈

全网第 0 大家族
已有 0 万位宗亲
{{memberTotal}}名宗亲正在热聊 快来加入
{{t.username}}:{{t.content}}
微信
QQ空间
QQ
微博