扫一扫,手机查看
[乾隆]郃陽縣全志四卷卷三下_孫景烈
下载PDF
收藏
热门族谱匹配度排行
东北-025:昌图县志
东北-025:昌图县志
南陵县志(一、二)
南陵县志(一、二)
罗定县志(1-3)
罗定县志(1-3)
苏州府志(1-6)
苏州府志(1-6)
扫一扫,手机查看
[乾隆]郃陽縣全志四卷卷三下_孫景烈
[乾隆]郃陽縣全志四卷卷三下_孫景烈
姓氏:  
堂号:  
暂无相关信息
编修:  
暂无相关信息
编修时间:  
页数: 50 
浏览:  
465
散居地:  
不详
始祖:  
不详
查阅族谱
下载族谱
地方志简介
为你甄选肆氏族谱
03_01万历 永安县志
03_01万历 永安县志
浏览:3498
页数:112
65 嘉靖襄城县志 河南省
65 嘉靖襄城县志 河南省
浏览:7281
页数:226
闽县乡土志(1)
闽县乡土志(1)
浏览:2944
页数:384
高陵县志(全)
高陵县志(全)
浏览:7967
页数:396
地方志查阅
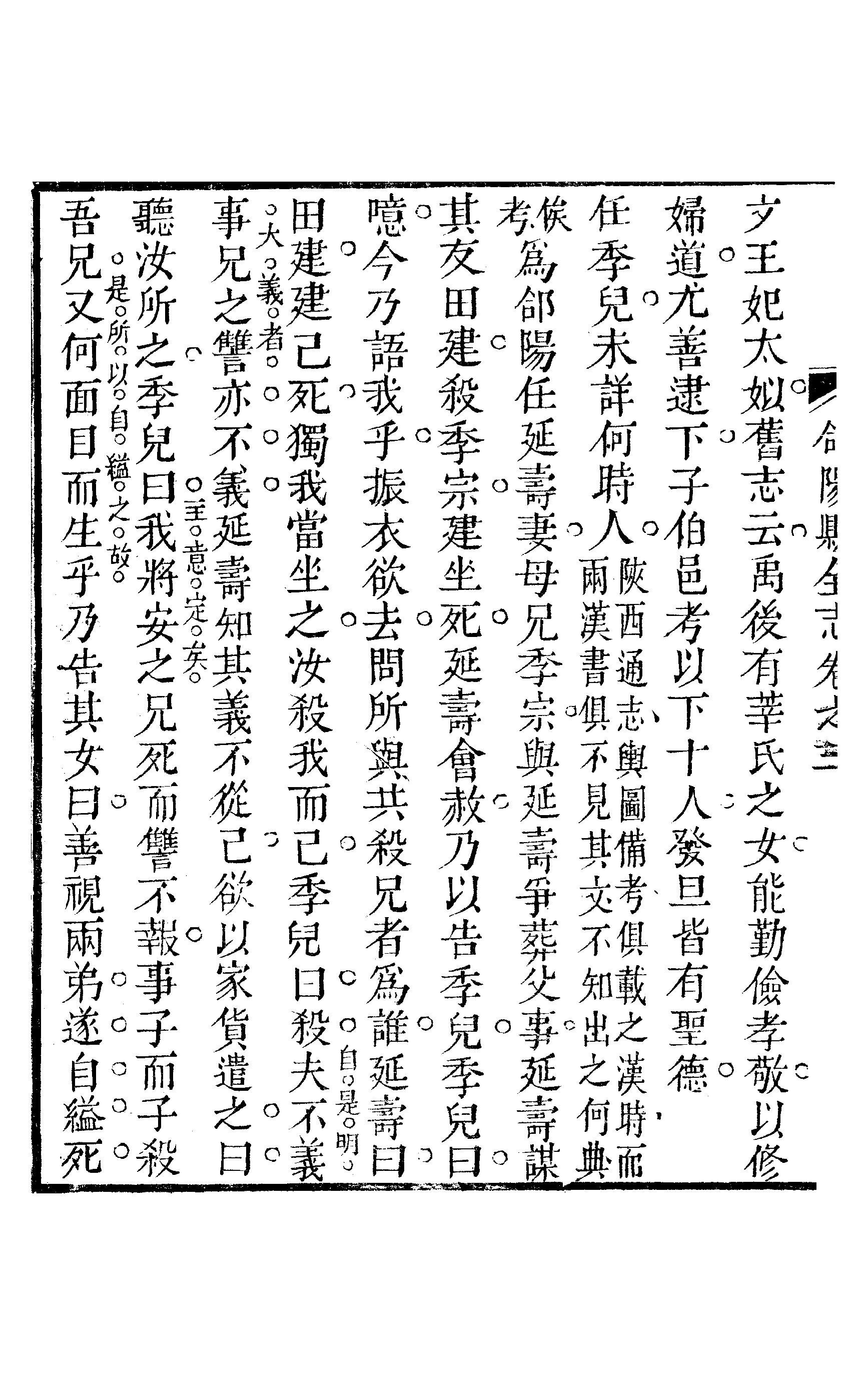
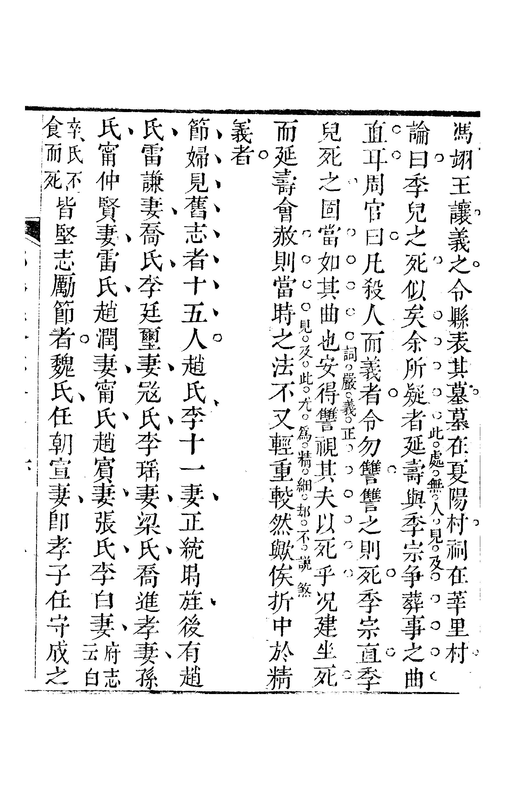
摘自《[乾隆]郃陽縣全志四卷卷三下_孫景烈》
本方志共有50页,阅览1
本方志共有50页,阅览2
本方志共有50页,阅览3
本方志共有50页,阅览4
本方志共有50页,阅览5
您与当前族谱匹配度约
91.8%
会员可免费查看寻根
感谢您对族谱文化及修谱师的支持!
查阅查阅全部50页
正在为您生成PDF文件 生成时间大概需要10~30分钟左右,请稍后再试。
或者您也可以联系下方客服为您下载
族谱王官方公众号
微信号:zupu2022
全部互动({{commentTotal}})
{{item.userName}}
{{item.createAt}}
{{item.content}}
暂无互动评论
发布
尽揽千万族谱
姓氏族谱博物馆
姓氏族谱 0
字辈表 4
源流 8
相关始祖
下载APP立即进入
99+

姓氏家族圈

全网第 0 大家族
已有 0 万位宗亲
{{memberTotal}}名宗亲正在热聊 快来加入
{{t.username}}:{{t.content}}
微信
QQ空间
QQ
微博