扫一扫,手机查看
[乾隆]興平縣志二十五卷卷一至卷三_張塤
下载PDF
收藏
热门族谱匹配度排行
河北省-026昌黎县志(河北)
河北省-026昌黎县志(河北)
天一阁藏明代方志选刊(57)隆庆岳州府志(湖南省)
天一阁藏明代方志选刊(57)隆庆岳州府志(湖南省)
中国方志丛书·华中地方·第二四三号··安徽省·宁国县志(一、二、三、四)
中国方志丛书·华中地方·第二四三号··安徽省·宁国县志(一、二、三、四)
中国方志丛书·华中地方·第三一二号·湖南省·汝城县志(1-6)
中国方志丛书·华中地方·第三一二号·湖南省·汝城县志(1-6)
扫一扫,手机查看
[乾隆]興平縣志二十五卷卷一至卷三_張塤
[乾隆]興平縣志二十五卷卷一至卷三_張塤
姓氏:  
堂号:  
暂无相关信息
编修:  
暂无相关信息
编修时间:  
页数: 134 
浏览:  
247
散居地:  
不详
始祖:  
不详
查阅族谱
下载族谱
地方志简介
为你甄选肆氏族谱
民勤县志(全)
民勤县志(全)
浏览:8511
页数:310
13_01康熙 南海县志
13_01康熙 南海县志
浏览:3225
页数:372
东北-033:双城县志
东北-033:双城县志
浏览:2745
页数:455
36 嘉靖天长县志 安徽省
36 嘉靖天长县志 安徽省
浏览:2529
页数:514
地方志查阅
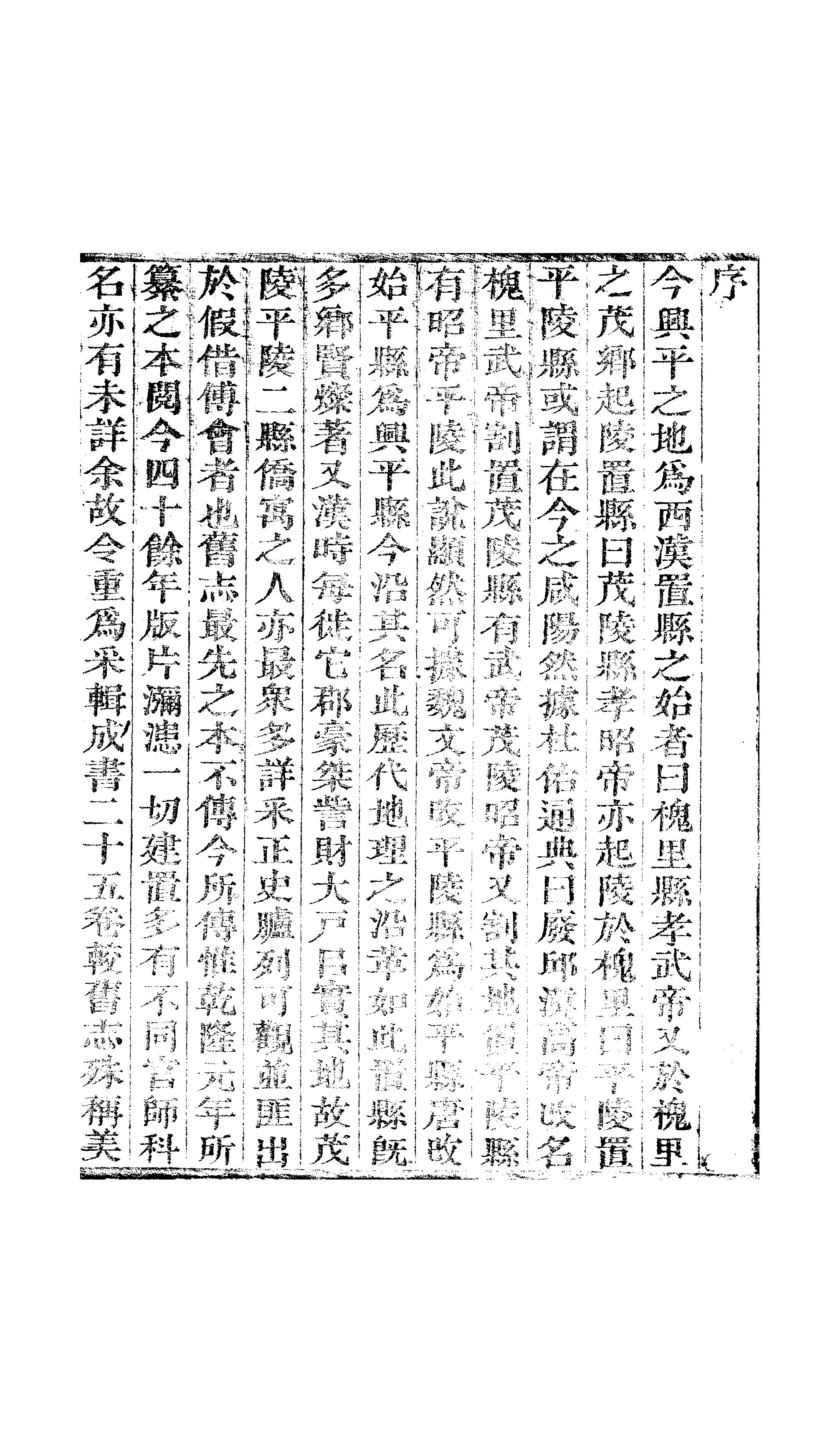
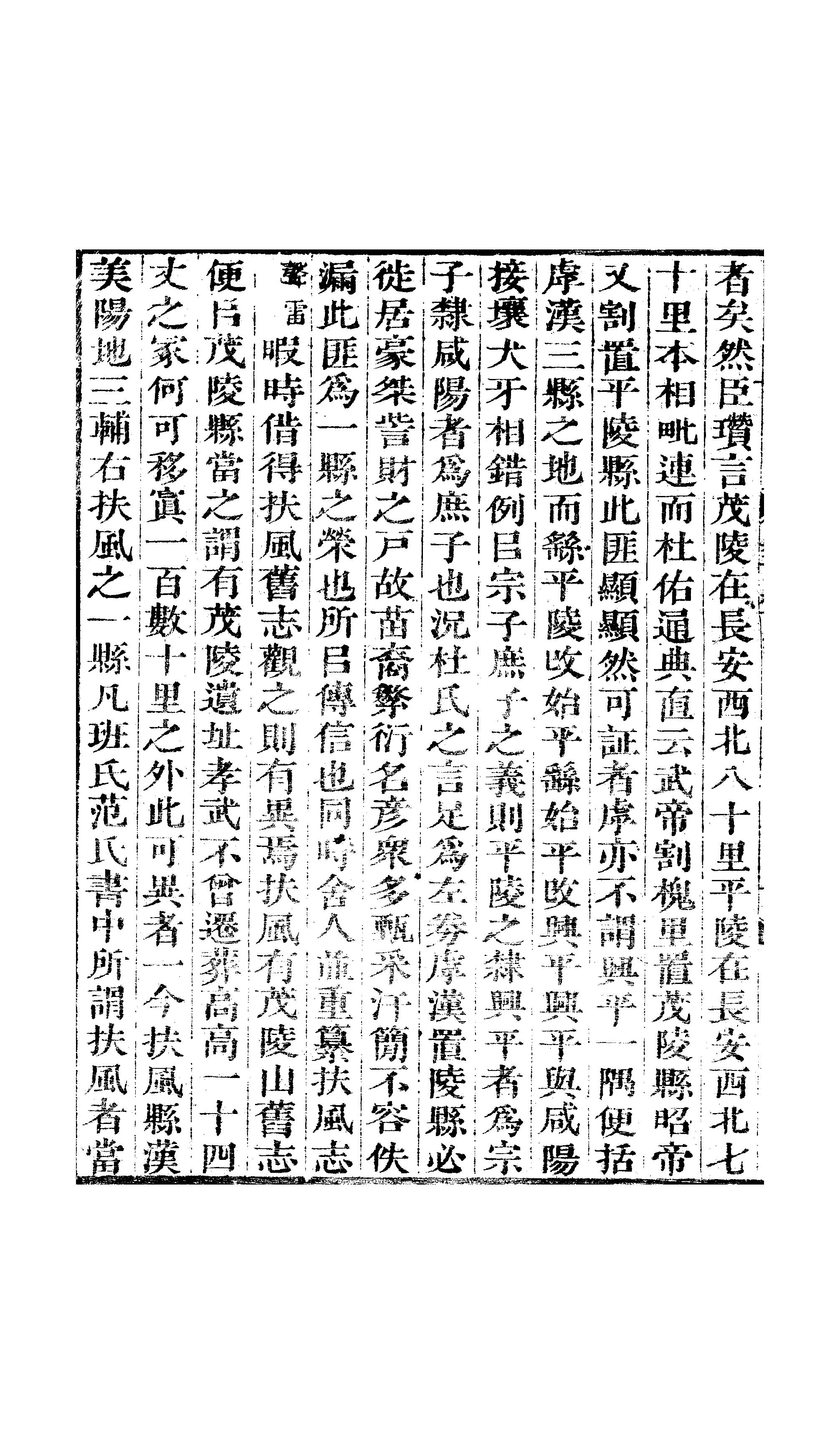
摘自《[乾隆]興平縣志二十五卷卷一至卷三_張塤》
本方志共有134页,阅览1
本方志共有134页,阅览2
本方志共有134页,阅览3
本方志共有134页,阅览4
本方志共有134页,阅览5
您与当前族谱匹配度约
92.8%
会员可免费查看寻根
感谢您对族谱文化及修谱师的支持!
查阅查阅全部134页
正在为您生成PDF文件 生成时间大概需要10~30分钟左右,请稍后再试。
或者您也可以联系下方客服为您下载
族谱王官方公众号
微信号:zupu2022
全部互动({{commentTotal}})
{{item.userName}}
{{item.createAt}}
{{item.content}}
暂无互动评论
发布
尽揽千万族谱
姓氏族谱博物馆
姓氏族谱 0
字辈表 4
源流 8
相关始祖
下载APP立即进入
99+

姓氏家族圈

全网第 0 大家族
已有 0 万位宗亲
{{memberTotal}}名宗亲正在热聊 快来加入
{{t.username}}:{{t.content}}
微信
QQ空间
QQ
微博